mp-28562/RbAsSe2/harm

Harmonic properties

../../_images/fig_bandos_pr11534.png

(a) Phonon dispersion with participation ratio and DOS

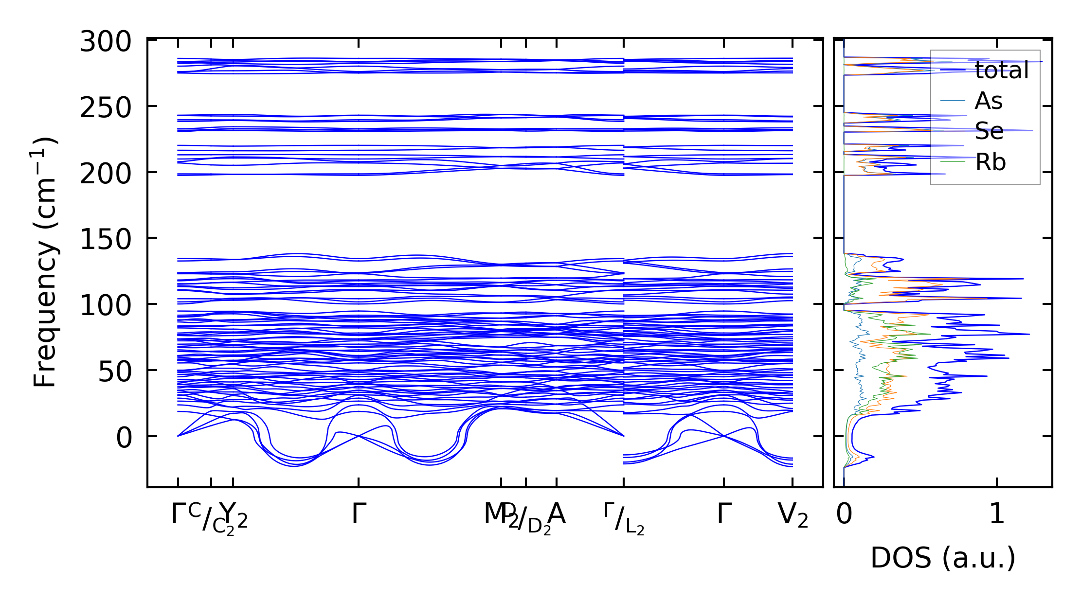
../../_images/fig_bandos15545.png

(b) Phonon dispersion and DOS

../../_images/fig_thermo11534.png

(c) Thermodynamic properties

Force constants

../../_images/fig_fc211248.png

(a) Force constants w.r.t atomic distance

Summary

../../_images/fig_times19653.png

(a) Computation time