mp-28458/ErSeI/anharm

Harmonic properties

../../_images/fig_bandos_pr11852.png

(a) Phonon dispersion with participation ratio and DOS

../../_images/fig_thermo11852.png

(b) Thermodynamic properties

Grüneisen parameters

../../_images/fig_gru_all4940.png

(a) Grüneisen parameters

../../_images/fig_gruneisen4940.png

(b) Phonon dispersion with Grüneisen parameters

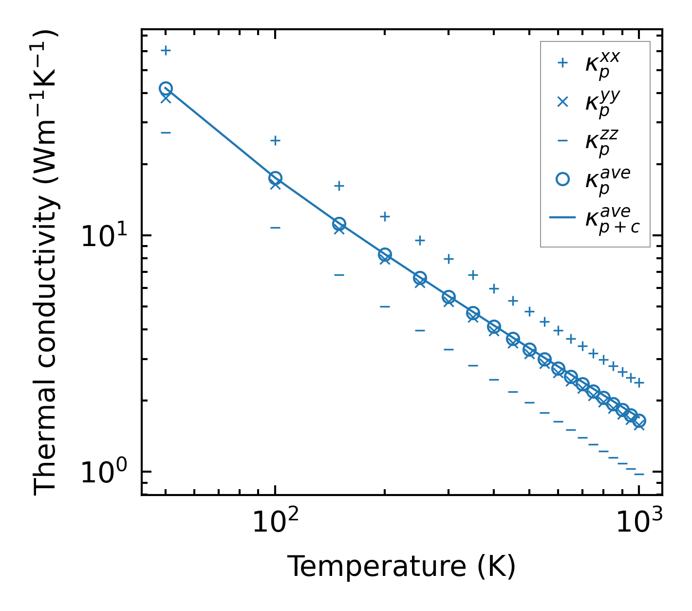
Thermal conductivity

3-phonon (LASSO) — q-mesh: 17x12x7, supercell: 4x3x2

../../_images/fig_kappa9313.png

(a) Temperature-dependent lattice thermal conductivity

../../_images/fig_kappa_vs_grain_size4998.png

(b) Peierls lattice thermal conductivity w.r.t grain size

Phonon lifetime and scattering rates

../../_images/fig_lifetime4890.png

(a) Phonon lifetime due to phonon-phonon scattering

../../_images/fig_scat_rates4889.png

(b) Phonon scattering rates

Cumulative and spectral thermal conductivity

../../_images/fig_cumu_frequency4890.png

(a) Spectral and cumulative thermal conductivity w.r.t frequency

../../_images/fig_cumu_mfp4889.png

(b) Spectral and cumulative thermal conductivity w.r.t MFP

Force constants

../../_images/fig_fc211563.png

(a) Force constants w.r.t atomic distance

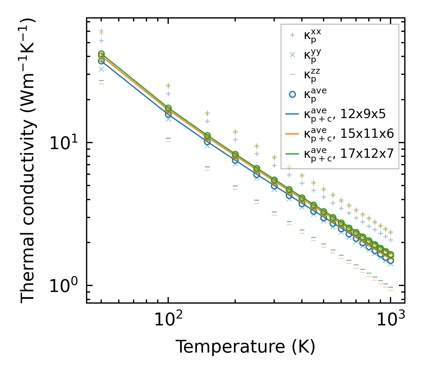
Summary

../../_images/fig_kappa9314.png

(a) Temperature-dependent lattice thermal conductivity

../../_images/fig_times20115.png

(b) Computation time