mp-28278/Na2GeSe3/anharm

Harmonic properties

../../_images/fig_bandos_pr11790.png

(a) Phonon dispersion with participation ratio and DOS

../../_images/fig_thermo11790.png

(b) Thermodynamic properties

Grüneisen parameters

../../_images/fig_gru_all4912.png

(a) Grüneisen parameters

../../_images/fig_gruneisen4912.png

(b) Phonon dispersion with Grüneisen parameters

Thermal conductivity

3-phonon (LASSO) — q-mesh: 10x4x12, supercell: 2x1x3

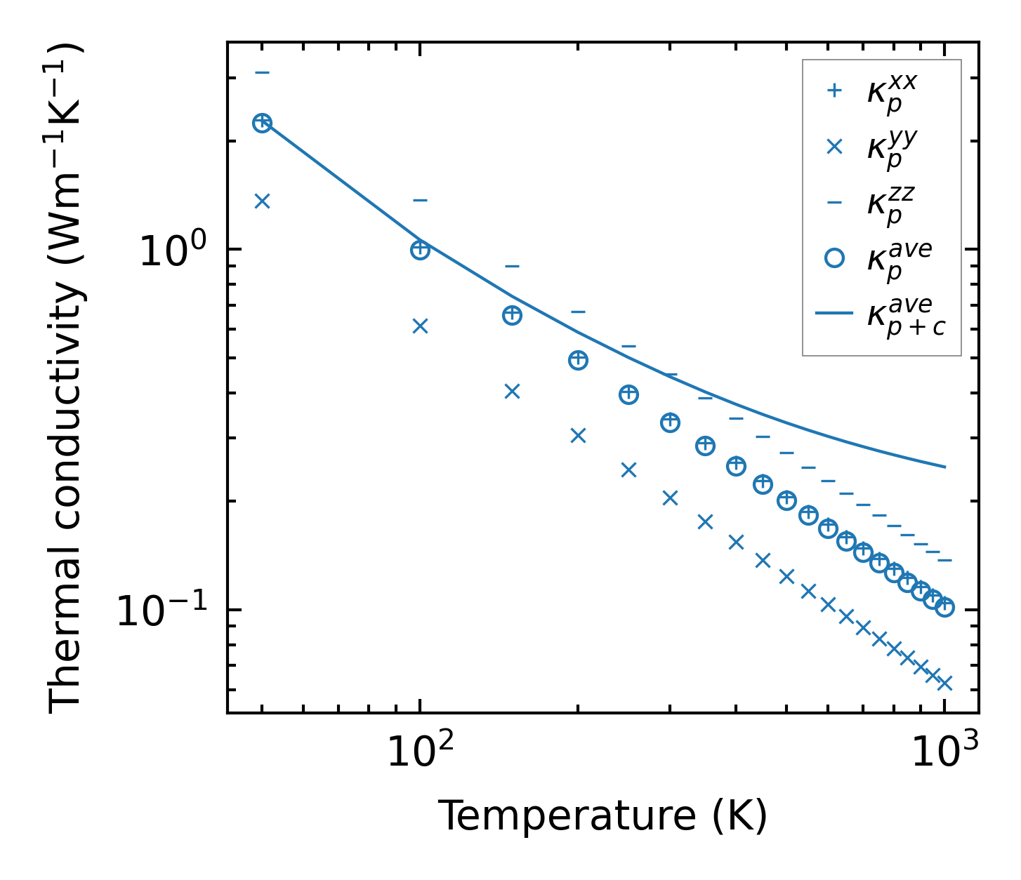
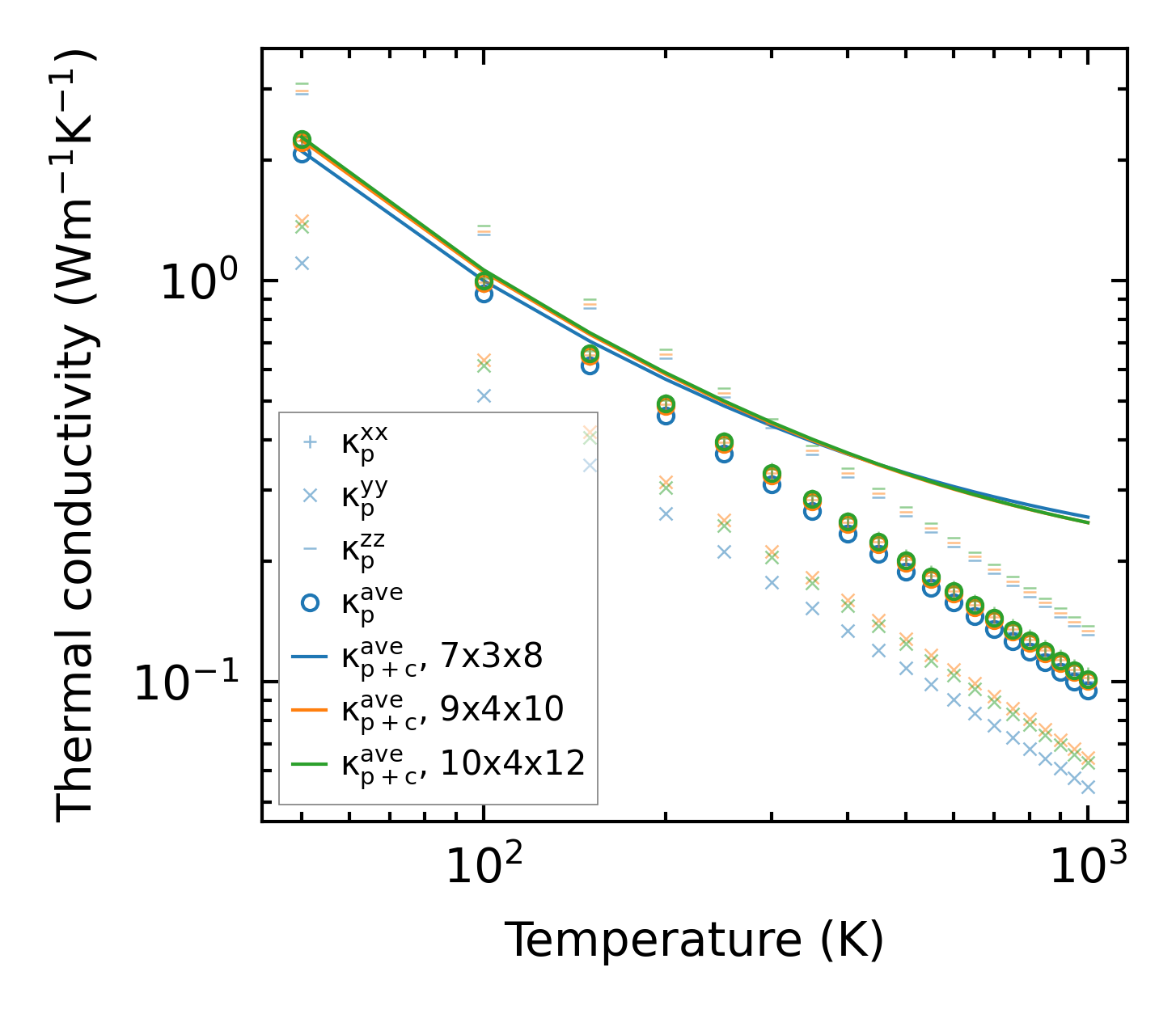
../../_images/fig_kappa9259.png

(a) Temperature-dependent lattice thermal conductivity

../../_images/fig_kappa_vs_grain_size4969.png

(b) Peierls lattice thermal conductivity w.r.t grain size

Phonon lifetime and scattering rates

../../_images/fig_lifetime4863.png

(a) Phonon lifetime due to phonon-phonon scattering

../../_images/fig_scat_rates4862.png

(b) Phonon scattering rates

Cumulative and spectral thermal conductivity

../../_images/fig_cumu_frequency4863.png

(a) Spectral and cumulative thermal conductivity w.r.t frequency

../../_images/fig_cumu_mfp4862.png

(b) Spectral and cumulative thermal conductivity w.r.t MFP

Force constants

../../_images/fig_fc211501.png

(a) Force constants w.r.t atomic distance

Summary

../../_images/fig_kappa9260.png

(a) Temperature-dependent lattice thermal conductivity

../../_images/fig_times20007.png

(b) Computation time