mp-28423/Ga2TeSe2/anharm

Harmonic properties

../../_images/fig_bandos_pr11844.png

(a) Phonon dispersion with participation ratio and DOS

../../_images/fig_thermo11844.png

(b) Thermodynamic properties

Grüneisen parameters

../../_images/fig_gru_all4936.png

(a) Grüneisen parameters

../../_images/fig_gruneisen4936.png

(b) Phonon dispersion with Grüneisen parameters

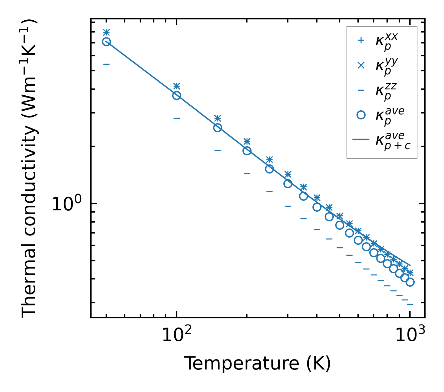
Thermal conductivity

3-phonon (LASSO) — q-mesh: 10x10x10, supercell: 2x2x1

../../_images/fig_kappa9306.png

(a) Temperature-dependent lattice thermal conductivity

../../_images/fig_kappa_vs_grain_size4994.png

(b) Peierls lattice thermal conductivity w.r.t grain size

Phonon lifetime and scattering rates

../../_images/fig_lifetime4886.png

(a) Phonon lifetime due to phonon-phonon scattering

../../_images/fig_scat_rates4885.png

(b) Phonon scattering rates

Cumulative and spectral thermal conductivity

../../_images/fig_cumu_frequency4886.png

(a) Spectral and cumulative thermal conductivity w.r.t frequency

../../_images/fig_cumu_mfp4885.png

(b) Spectral and cumulative thermal conductivity w.r.t MFP

Force constants

../../_images/fig_fc211555.png

(a) Force constants w.r.t atomic distance

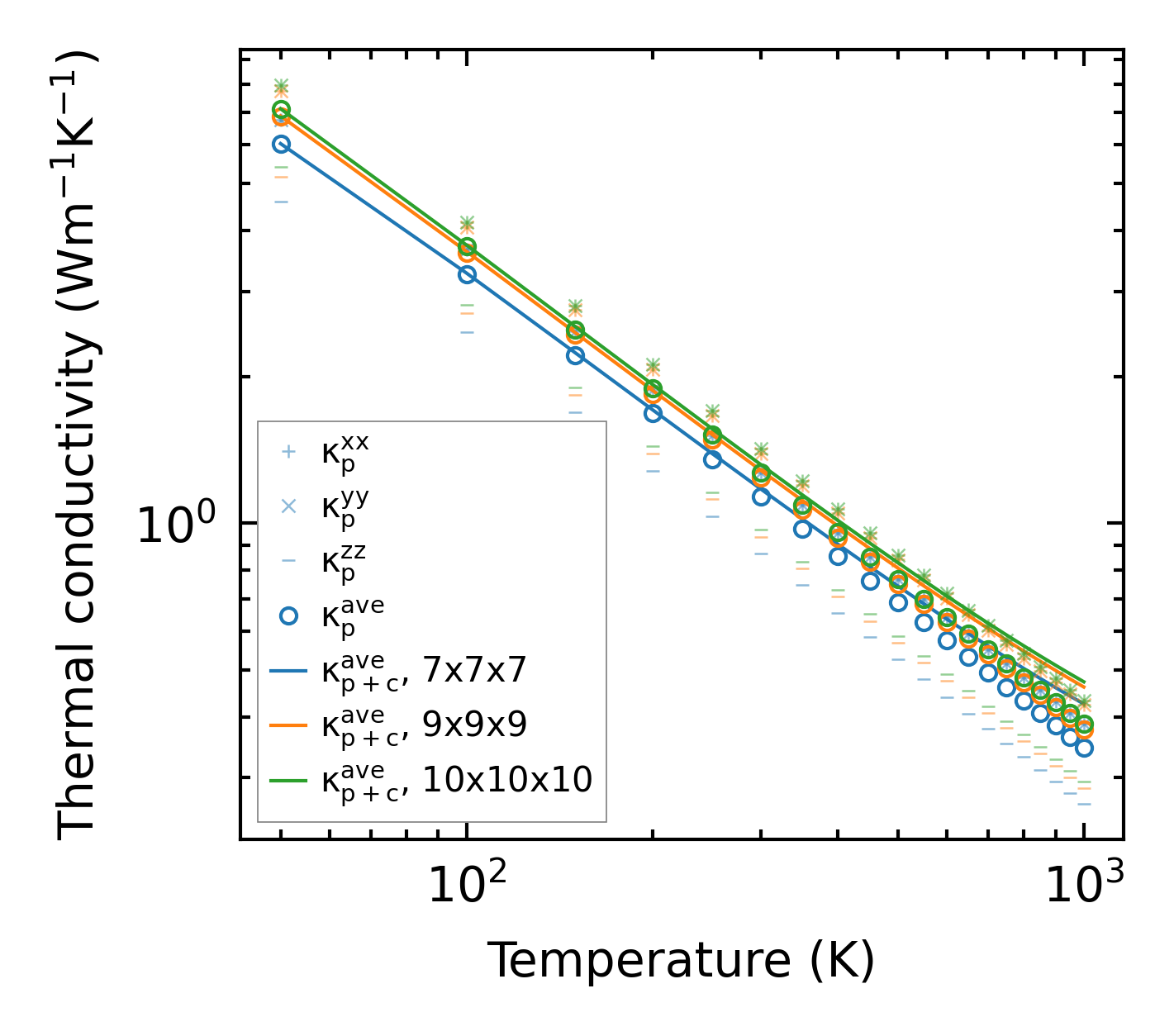
Summary

../../_images/fig_kappa9307.png

(a) Temperature-dependent lattice thermal conductivity

../../_images/fig_times20100.png

(b) Computation time