mp-28136/Hg2IO/harm

Harmonic properties

../../_images/fig_bandos_pr11716.png

(a) Phonon dispersion with participation ratio and DOS

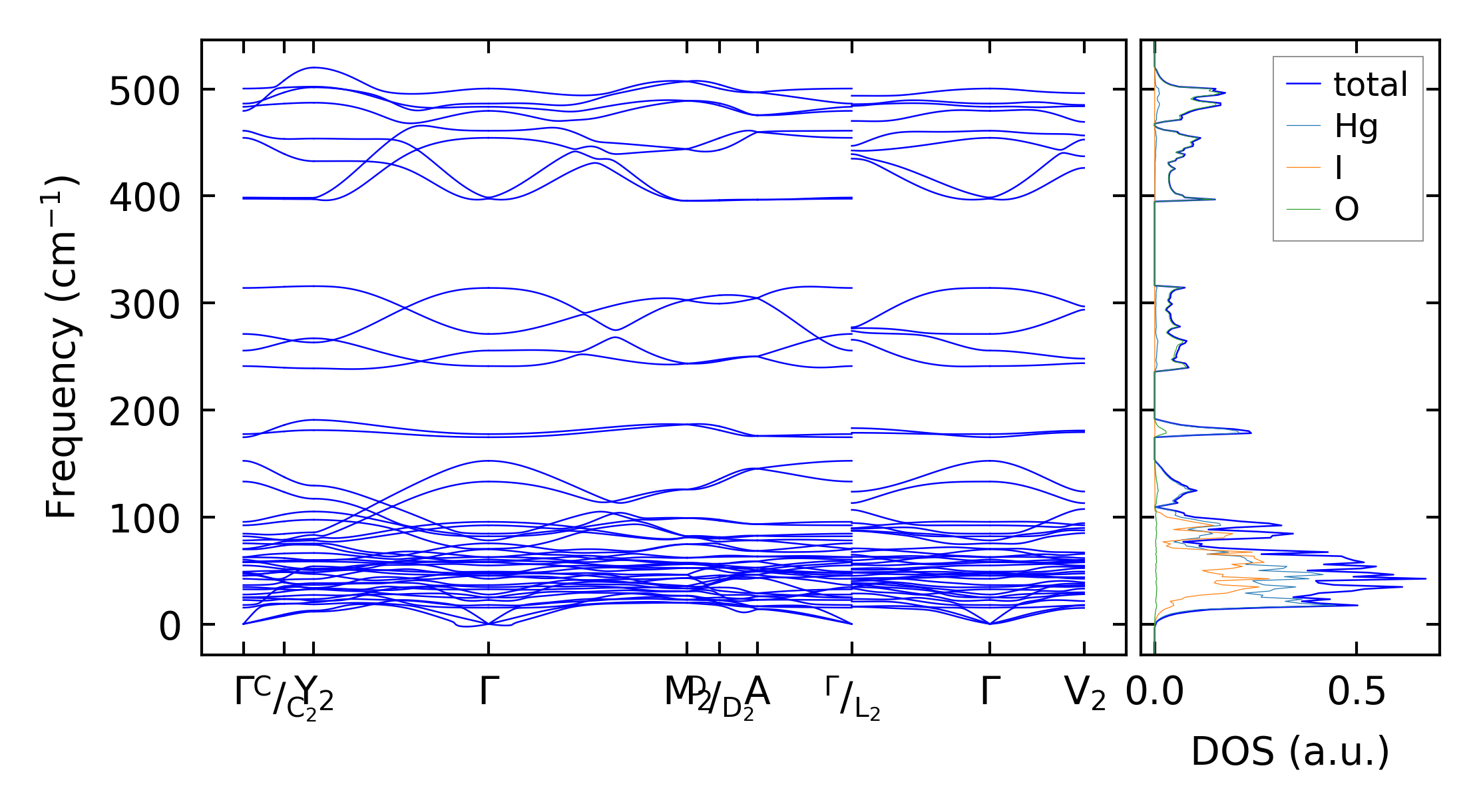
../../_images/fig_bandos15718.png

(b) Phonon dispersion and DOS

../../_images/fig_thermo11716.png

(c) Thermodynamic properties

Force constants

../../_images/fig_fc211427.png

(a) Force constants w.r.t atomic distance

Summary

../../_images/fig_times19906.png

(a) Computation time