mp-28066/ThBrN/anharm

Harmonic properties

../../_images/fig_bandos_pr12026.png

(a) Phonon dispersion with participation ratio and DOS

../../_images/fig_thermo12026.png

(b) Thermodynamic properties

Grüneisen parameters

../../_images/fig_gru_all5013.png

(a) Grüneisen parameters

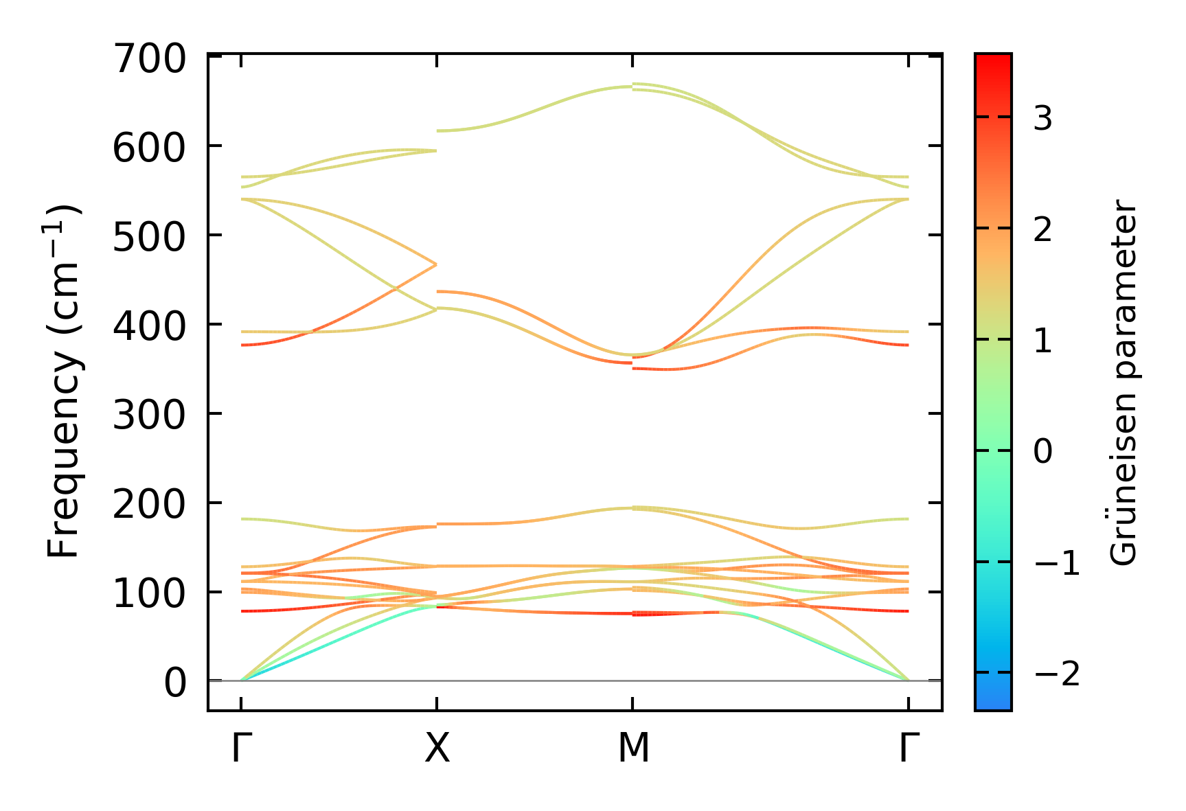
../../_images/fig_gruneisen5013.png

(b) Phonon dispersion with Grüneisen parameters

Thermal conductivity

3-phonon (LASSO) — q-mesh: 17x17x9, supercell: 3x3x2

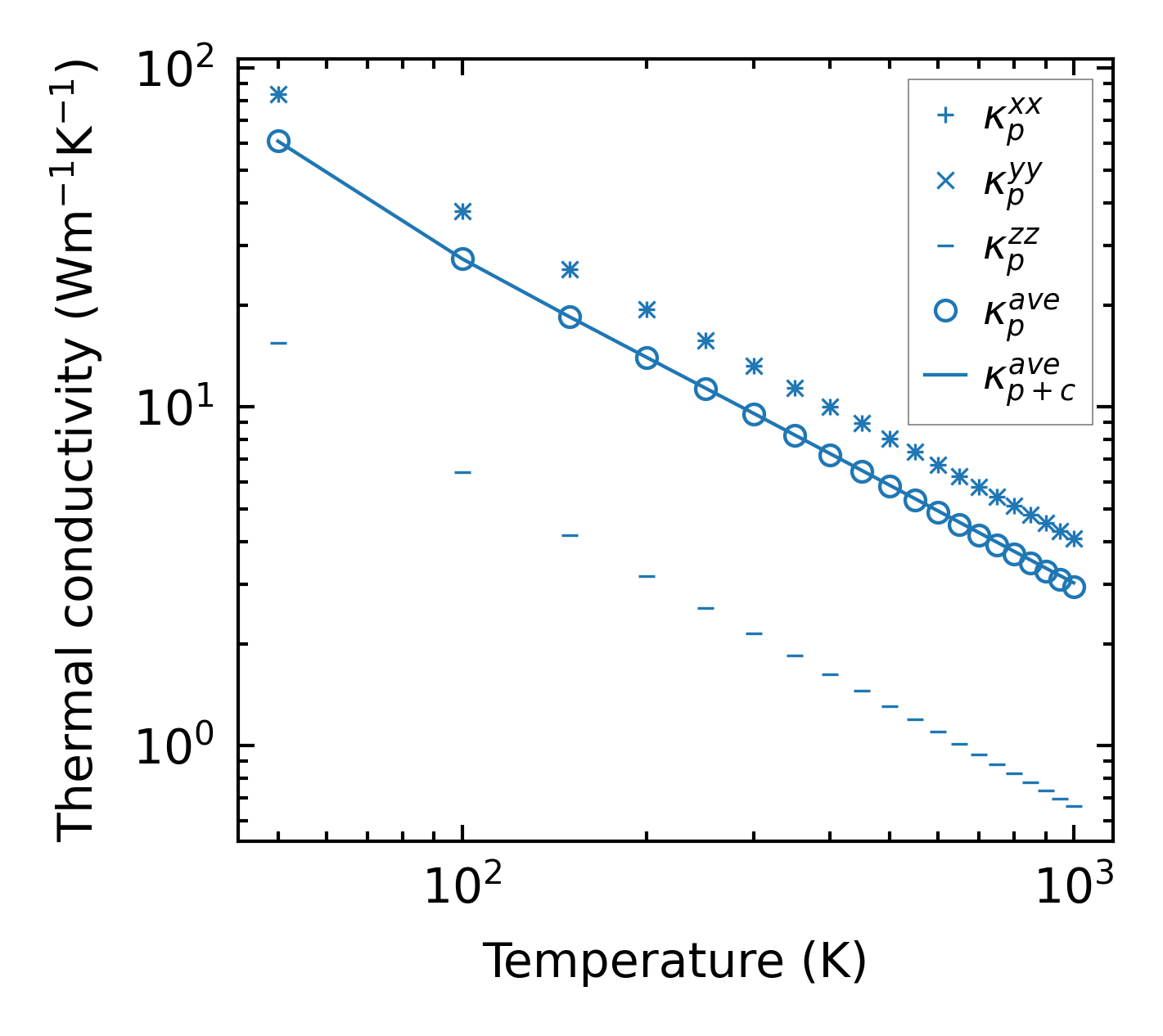
../../_images/fig_kappa9446.png

(a) Temperature-dependent lattice thermal conductivity

../../_images/fig_kappa_vs_grain_size5072.png

(b) Peierls lattice thermal conductivity w.r.t grain size

Phonon lifetime and scattering rates

../../_images/fig_lifetime4963.png

(a) Phonon lifetime due to phonon-phonon scattering

../../_images/fig_scat_rates4962.png

(b) Phonon scattering rates

Cumulative and spectral thermal conductivity

../../_images/fig_cumu_frequency4963.png

(a) Spectral and cumulative thermal conductivity w.r.t frequency

../../_images/fig_cumu_mfp4962.png

(b) Spectral and cumulative thermal conductivity w.r.t MFP

Force constants

../../_images/fig_fc211729.png

(a) Force constants w.r.t atomic distance

Summary

../../_images/fig_kappa9447.png

(a) Temperature-dependent lattice thermal conductivity

../../_images/fig_times20383.png

(b) Computation time