mp-28722-2/PtS2Cl6/anharm

Equation of state

../../_images/fig_bm5668.png

(a) Equation of state

Harmonic properties

../../_images/fig_bandos_pr11608.png

(a) Phonon dispersion with participation ratio and DOS

../../_images/fig_thermo11608.png

(b) Thermodynamic properties

Grüneisen parameters

../../_images/fig_gru_all4827.png

(a) Grüneisen parameters

../../_images/fig_gruneisen4827.png

(b) Phonon dispersion with Grüneisen parameters

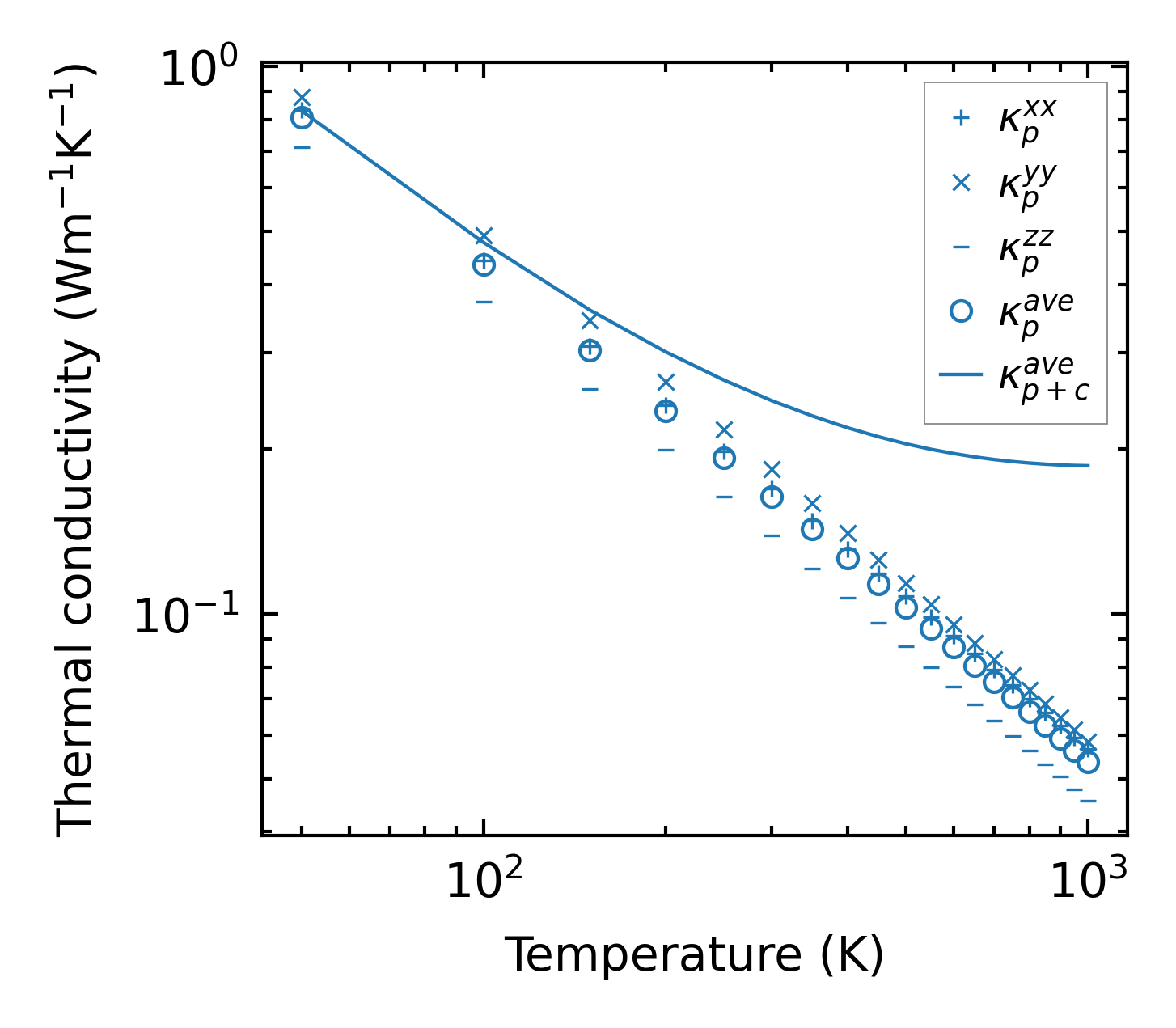
Thermal conductivity

3-phonon (LASSO) — q-mesh: 15x10x8, supercell: 3x2x2

../../_images/fig_kappa9104.png

(a) Temperature-dependent lattice thermal conductivity

../../_images/fig_kappa_vs_grain_size4885.png

(b) Peierls lattice thermal conductivity w.r.t grain size

Phonon lifetime and scattering rates

../../_images/fig_lifetime4780.png

(a) Phonon lifetime due to phonon-phonon scattering

../../_images/fig_scat_rates4779.png

(b) Phonon scattering rates

Cumulative and spectral thermal conductivity

../../_images/fig_cumu_frequency4780.png

(a) Spectral and cumulative thermal conductivity w.r.t frequency

../../_images/fig_cumu_mfp4779.png

(b) Spectral and cumulative thermal conductivity w.r.t MFP

Force constants

../../_images/fig_fc211320.png

(a) Force constants w.r.t atomic distance

Summary

../../_images/fig_kappa9105.png

(a) Temperature-dependent lattice thermal conductivity

../../_images/fig_times19756.png

(b) Computation time