mp-28548/Li8GeO6/anharm

Harmonic properties

../../_images/fig_bandos_pr11524.png

(a) Phonon dispersion with participation ratio and DOS

../../_images/fig_thermo11524.png

(b) Thermodynamic properties

Grüneisen parameters

../../_images/fig_gru_all4778.png

(a) Grüneisen parameters

../../_images/fig_gruneisen4778.png

(b) Phonon dispersion with Grüneisen parameters

Thermal conductivity

3-phonon (LASSO) — q-mesh: 13x13x7, supercell: 2x2x1

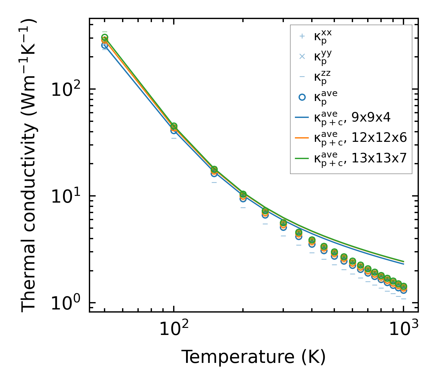
../../_images/fig_kappa9015.png

(a) Temperature-dependent lattice thermal conductivity

../../_images/fig_kappa_vs_grain_size4836.png

(b) Peierls lattice thermal conductivity w.r.t grain size

Phonon lifetime and scattering rates

../../_images/fig_lifetime4732.png

(a) Phonon lifetime due to phonon-phonon scattering

../../_images/fig_scat_rates4731.png

(b) Phonon scattering rates

Cumulative and spectral thermal conductivity

../../_images/fig_cumu_frequency4732.png

(a) Spectral and cumulative thermal conductivity w.r.t frequency

../../_images/fig_cumu_mfp4731.png

(b) Spectral and cumulative thermal conductivity w.r.t MFP

Force constants

../../_images/fig_fc211239.png

(a) Force constants w.r.t atomic distance

Summary

../../_images/fig_kappa9016.png

(a) Temperature-dependent lattice thermal conductivity

../../_images/fig_times19641.png

(b) Computation time