mp-28603/NaLiSe/anharm

Harmonic properties

../../_images/fig_bandos_pr11560.png

(a) Phonon dispersion with participation ratio and DOS

../../_images/fig_thermo11560.png

(b) Thermodynamic properties

Grüneisen parameters

../../_images/fig_gru_all4805.png

(a) Grüneisen parameters

../../_images/fig_gruneisen4805.png

(b) Phonon dispersion with Grüneisen parameters

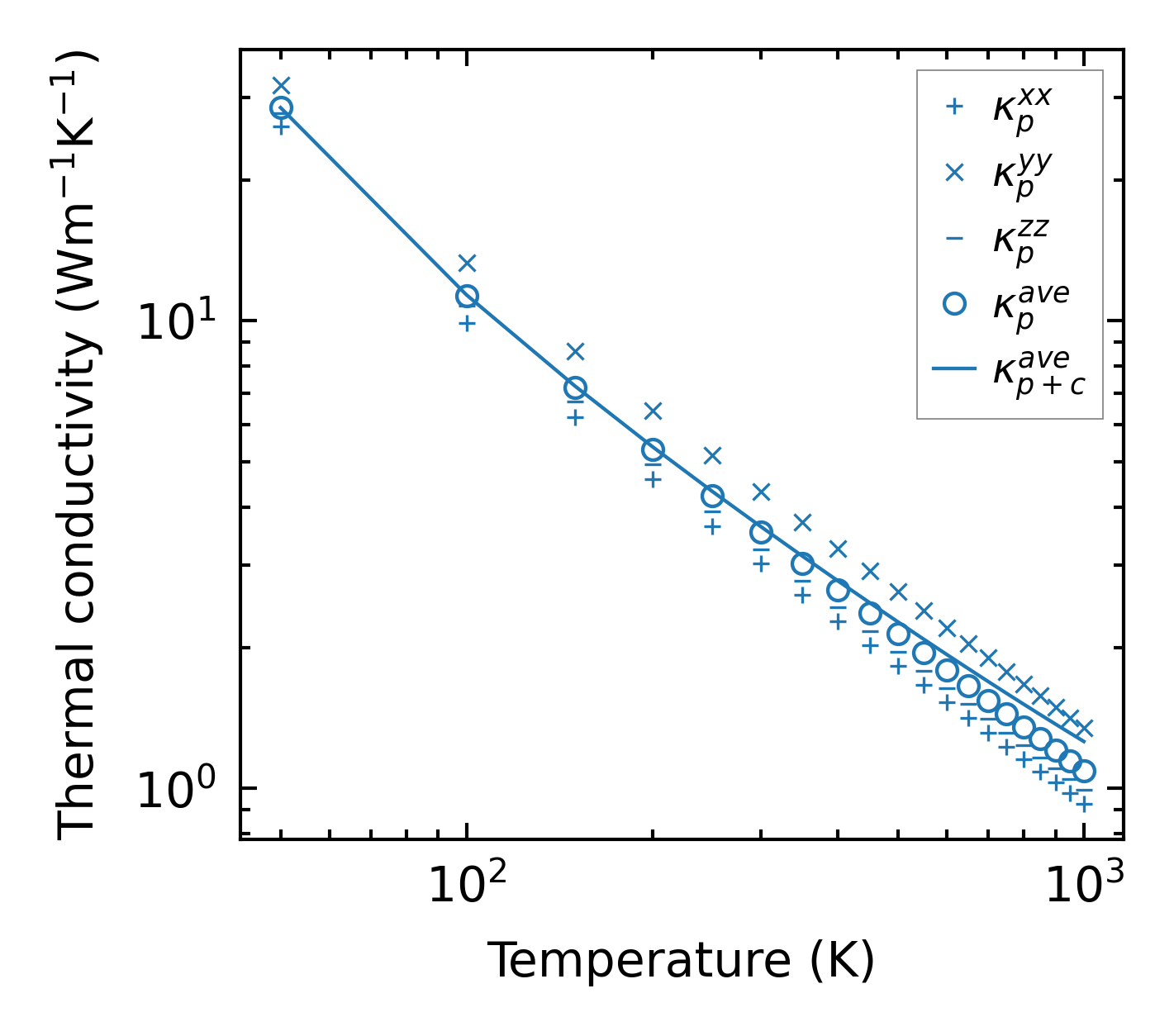
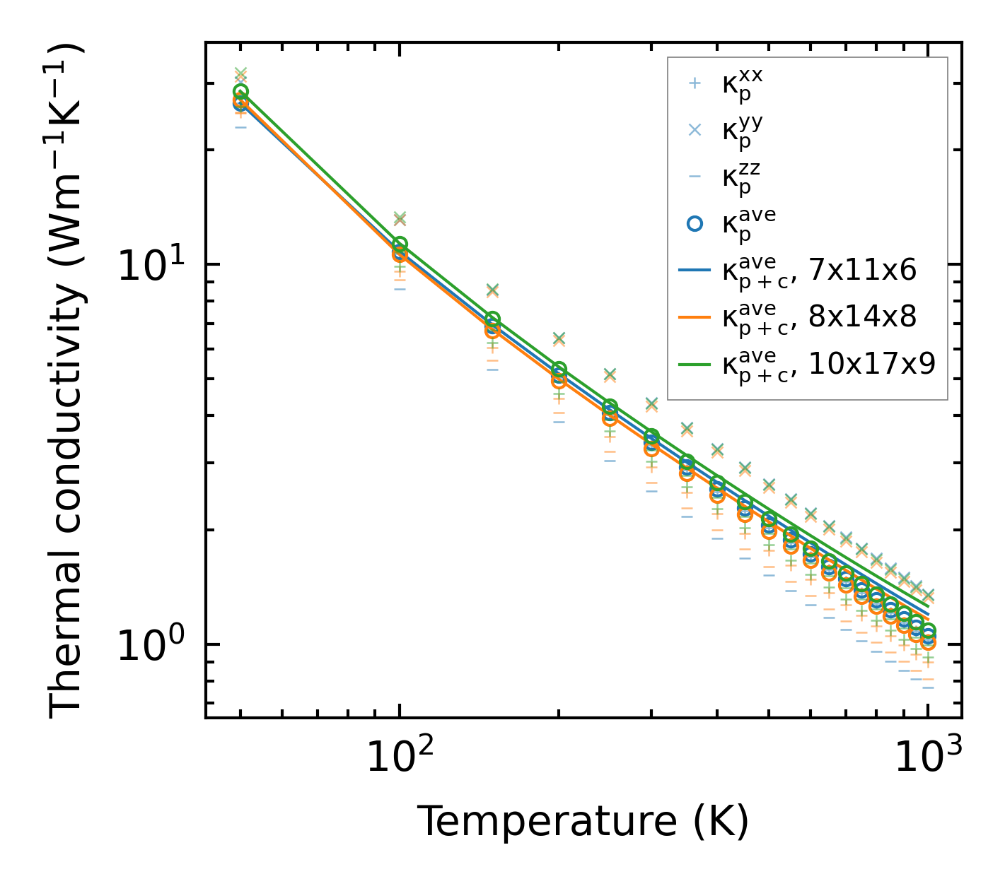
Thermal conductivity

3-phonon (LASSO) — q-mesh: 10x17x9, supercell: 2x3x2

../../_images/fig_kappa9065.png

(a) Temperature-dependent lattice thermal conductivity

../../_images/fig_kappa_vs_grain_size4863.png

(b) Peierls lattice thermal conductivity w.r.t grain size

Phonon lifetime and scattering rates

../../_images/fig_lifetime4759.png

(a) Phonon lifetime due to phonon-phonon scattering

../../_images/fig_scat_rates4758.png

(b) Phonon scattering rates

Cumulative and spectral thermal conductivity

../../_images/fig_cumu_frequency4759.png

(a) Spectral and cumulative thermal conductivity w.r.t frequency

../../_images/fig_cumu_mfp4758.png

(b) Spectral and cumulative thermal conductivity w.r.t MFP

Force constants

../../_images/fig_fc211273.png

(a) Force constants w.r.t atomic distance

Summary

../../_images/fig_kappa9066.png

(a) Temperature-dependent lattice thermal conductivity

../../_images/fig_times19689.png

(b) Computation time