mp-28555/RbSF5/anharm

Harmonic properties

../../_images/fig_bandos_pr11528.png

(a) Phonon dispersion with participation ratio and DOS

../../_images/fig_thermo11528.png

(b) Thermodynamic properties

Grüneisen parameters

../../_images/fig_gru_all4782.png

(a) Grüneisen parameters

../../_images/fig_gruneisen4782.png

(b) Phonon dispersion with Grüneisen parameters

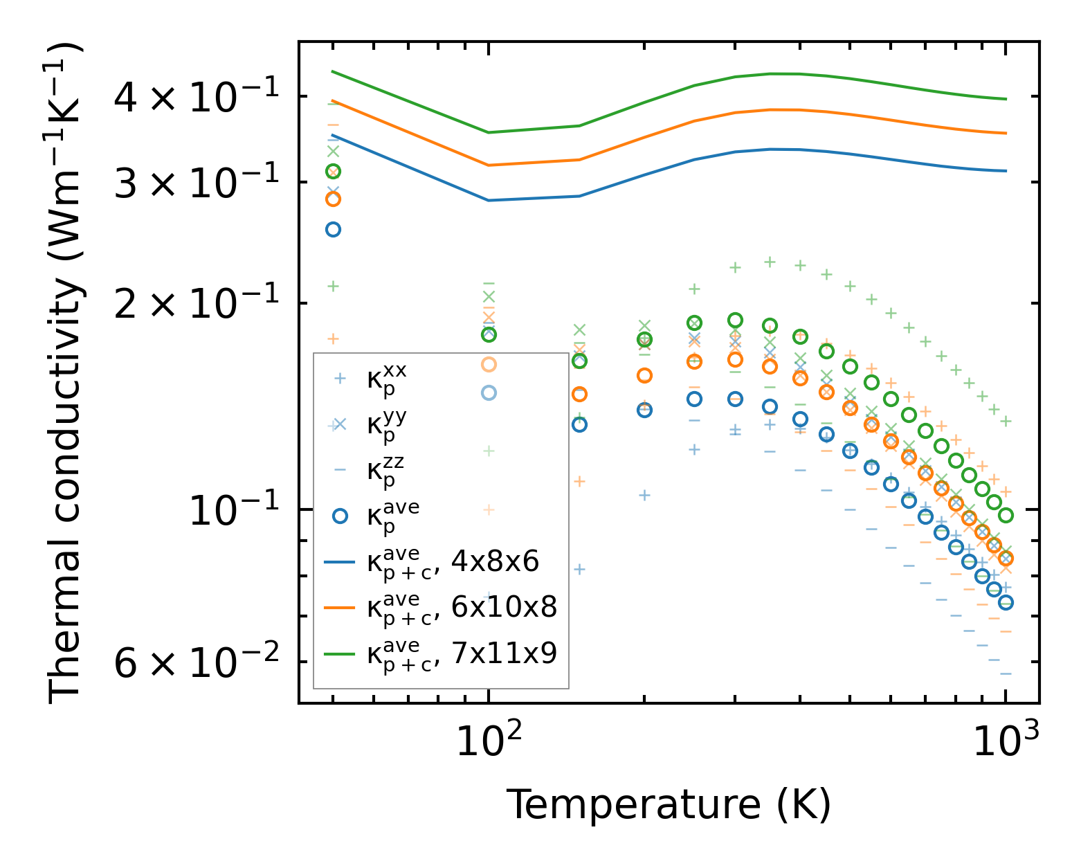
Thermal conductivity

3-phonon (LASSO) — q-mesh: 7x11x9, supercell: 1x2x2

../../_images/fig_kappa9023.png

(a) Temperature-dependent lattice thermal conductivity

../../_images/fig_kappa_vs_grain_size4840.png

(b) Peierls lattice thermal conductivity w.r.t grain size

Phonon lifetime and scattering rates

../../_images/fig_lifetime4736.png

(a) Phonon lifetime due to phonon-phonon scattering

../../_images/fig_scat_rates4735.png

(b) Phonon scattering rates

Cumulative and spectral thermal conductivity

../../_images/fig_cumu_frequency4736.png

(a) Spectral and cumulative thermal conductivity w.r.t frequency

../../_images/fig_cumu_mfp4735.png

(b) Spectral and cumulative thermal conductivity w.r.t MFP

Force constants

../../_images/fig_fc211242.png

(a) Force constants w.r.t atomic distance

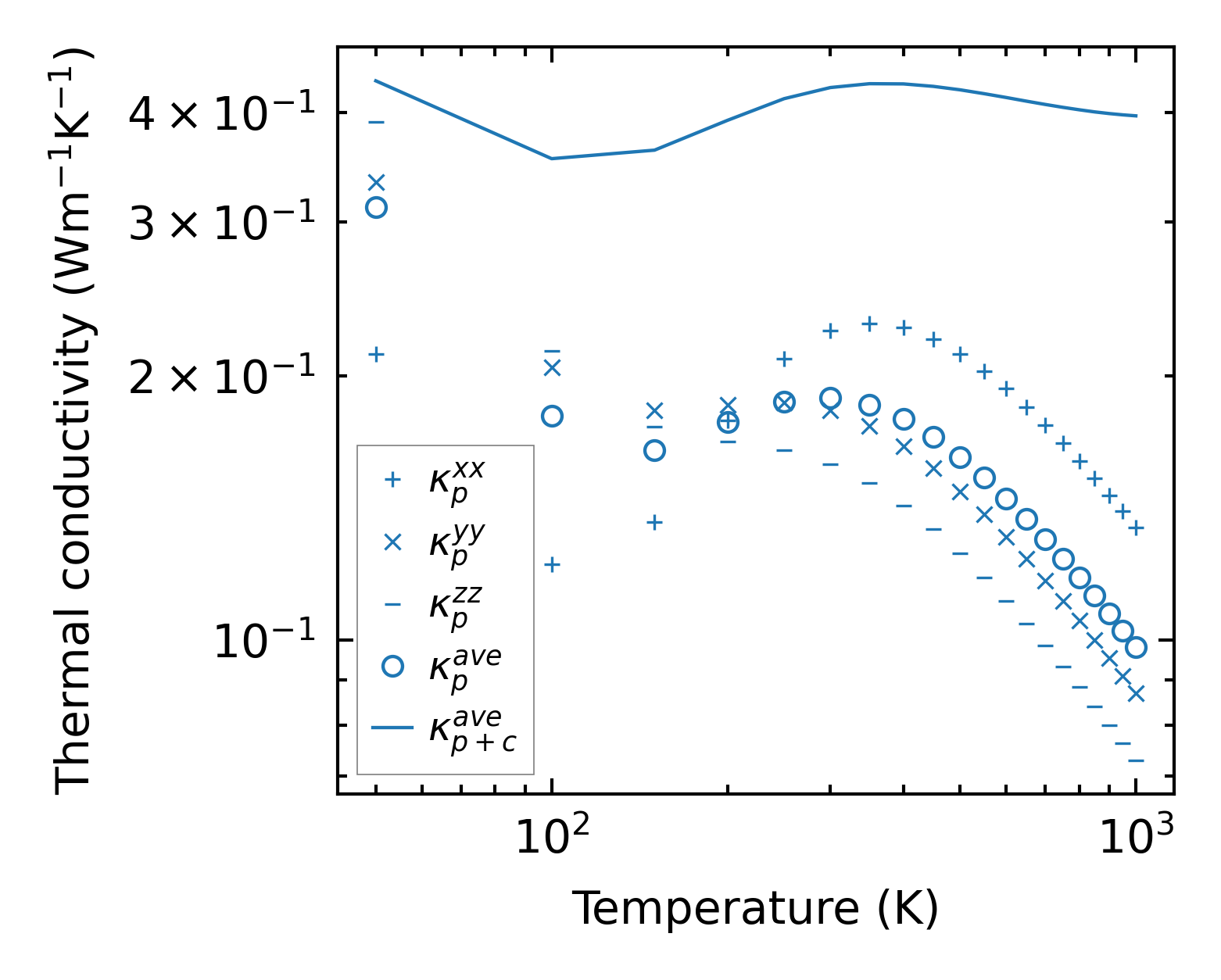
Summary

../../_images/fig_kappa9024.png

(a) Temperature-dependent lattice thermal conductivity

../../_images/fig_times19646.png

(b) Computation time