mp-28970/Nd2NCl3/anharm

Harmonic properties

../../_images/fig_bandos_pr11340.png

(a) Phonon dispersion with participation ratio and DOS

../../_images/fig_thermo11340.png

(b) Thermodynamic properties

Grüneisen parameters

../../_images/fig_gru_all4688.png

(a) Grüneisen parameters

../../_images/fig_gruneisen4688.png

(b) Phonon dispersion with Grüneisen parameters

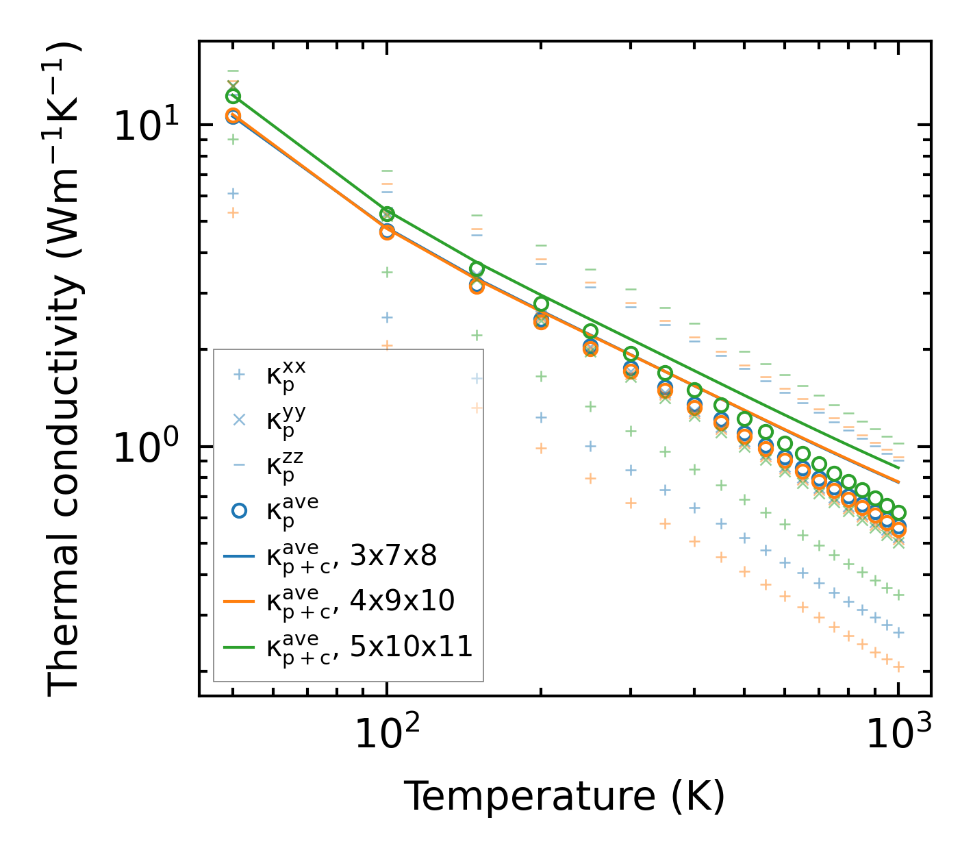
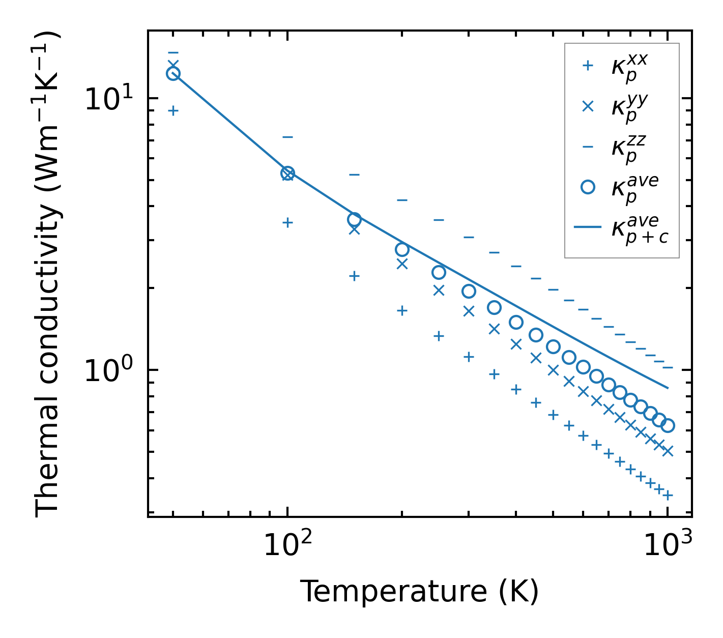
Thermal conductivity

3-phonon (LASSO) — q-mesh: 5x10x11, supercell: 1x2x3

../../_images/fig_kappa8848.png

(a) Temperature-dependent lattice thermal conductivity

../../_images/fig_kappa_vs_grain_size4746.png

(b) Peierls lattice thermal conductivity w.r.t grain size

Phonon lifetime and scattering rates

../../_images/fig_lifetime4644.png

(a) Phonon lifetime due to phonon-phonon scattering

../../_images/fig_scat_rates4643.png

(b) Phonon scattering rates

Cumulative and spectral thermal conductivity

../../_images/fig_cumu_frequency4644.png

(a) Spectral and cumulative thermal conductivity w.r.t frequency

../../_images/fig_cumu_mfp4643.png

(b) Spectral and cumulative thermal conductivity w.r.t MFP

Force constants

../../_images/fig_fc211056.png

(a) Force constants w.r.t atomic distance

Summary

../../_images/fig_kappa8849.png

(a) Temperature-dependent lattice thermal conductivity

../../_images/fig_times19359.png

(b) Computation time