mp-28319-2/PtI2/anharm

Equation of state

../../_images/fig_bm5752.png

(a) Equation of state

Harmonic properties

../../_images/fig_bandos_pr11798.png

(a) Phonon dispersion with participation ratio and DOS

../../_images/fig_thermo11798.png

(b) Thermodynamic properties

Grüneisen parameters

../../_images/fig_gru_all4917.png

(a) Grüneisen parameters

../../_images/fig_gruneisen4917.png

(b) Phonon dispersion with Grüneisen parameters

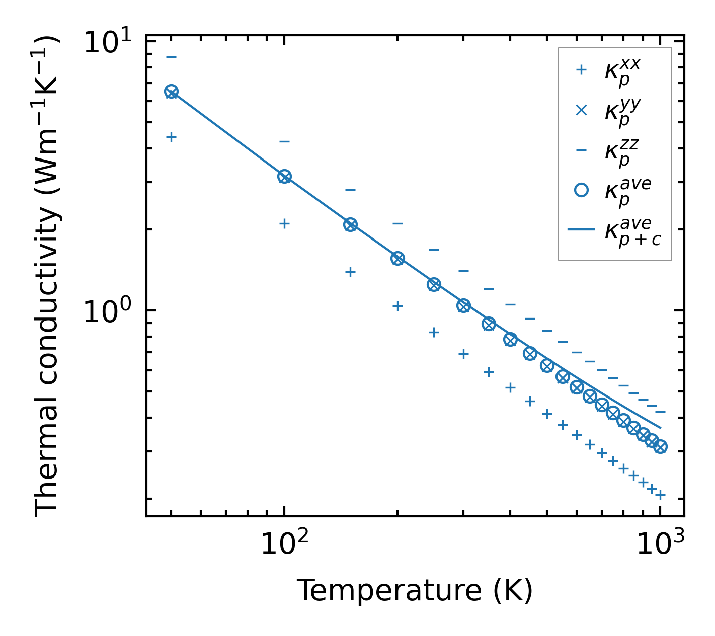
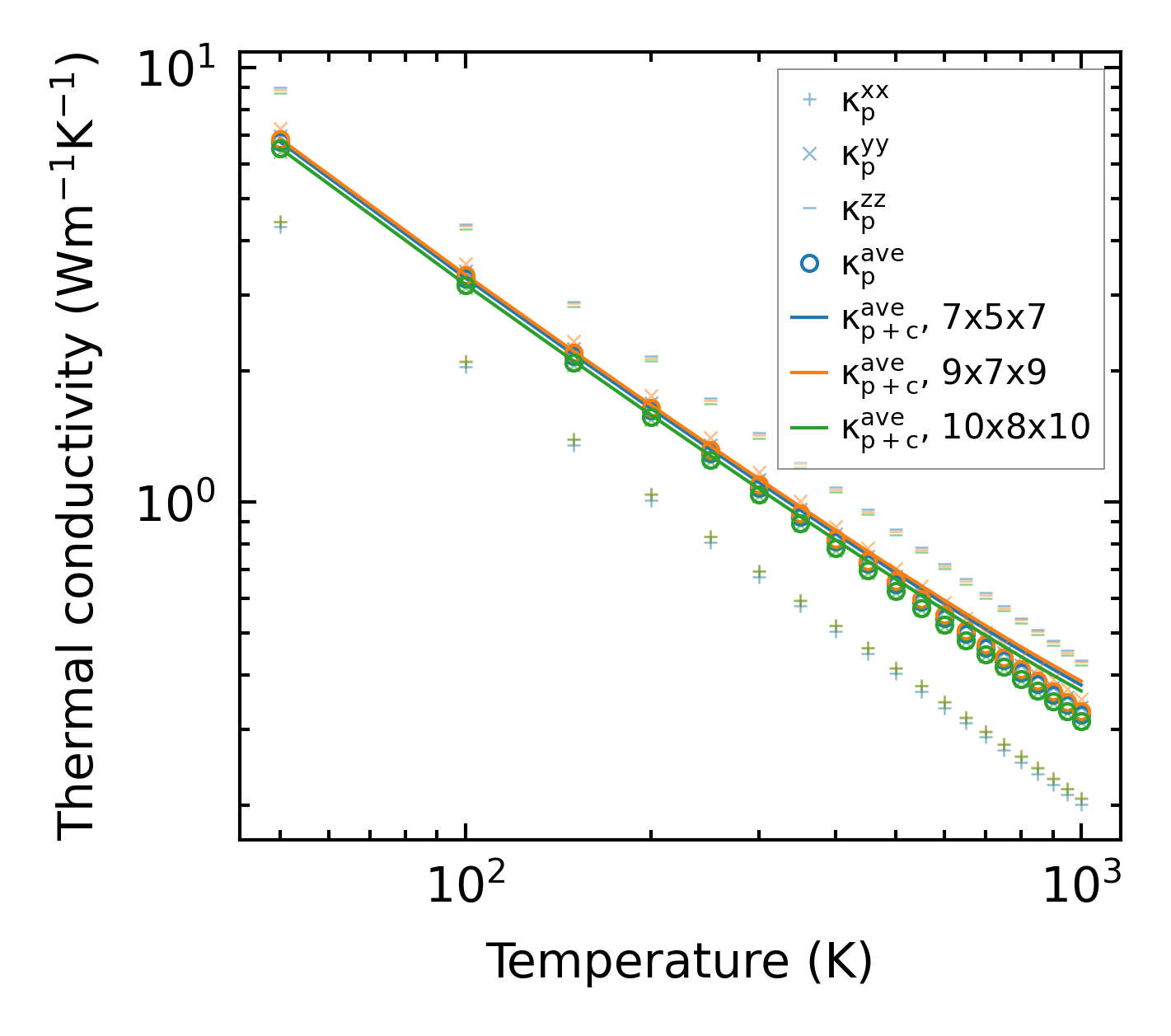
Thermal conductivity

3-phonon (LASSO) — q-mesh: 10x8x10, supercell: 3x2x2

../../_images/fig_kappa9269.png

(a) Temperature-dependent lattice thermal conductivity

../../_images/fig_kappa_vs_grain_size4974.png

(b) Peierls lattice thermal conductivity w.r.t grain size

Phonon lifetime and scattering rates

../../_images/fig_lifetime4868.png

(a) Phonon lifetime due to phonon-phonon scattering

../../_images/fig_scat_rates4867.png

(b) Phonon scattering rates

Cumulative and spectral thermal conductivity

../../_images/fig_cumu_frequency4868.png

(a) Spectral and cumulative thermal conductivity w.r.t frequency

../../_images/fig_cumu_mfp4867.png

(b) Spectral and cumulative thermal conductivity w.r.t MFP

Force constants

../../_images/fig_fc211509.png

(a) Force constants w.r.t atomic distance

Summary

../../_images/fig_kappa9270.png

(a) Temperature-dependent lattice thermal conductivity

../../_images/fig_times20023.png

(b) Computation time