mp-28556/Na3CuO3/anharm

Harmonic properties

../../_images/fig_bandos_pr11529.png

(a) Phonon dispersion with participation ratio and DOS

../../_images/fig_thermo11529.png

(b) Thermodynamic properties

Grüneisen parameters

../../_images/fig_gru_all4783.png

(a) Grüneisen parameters

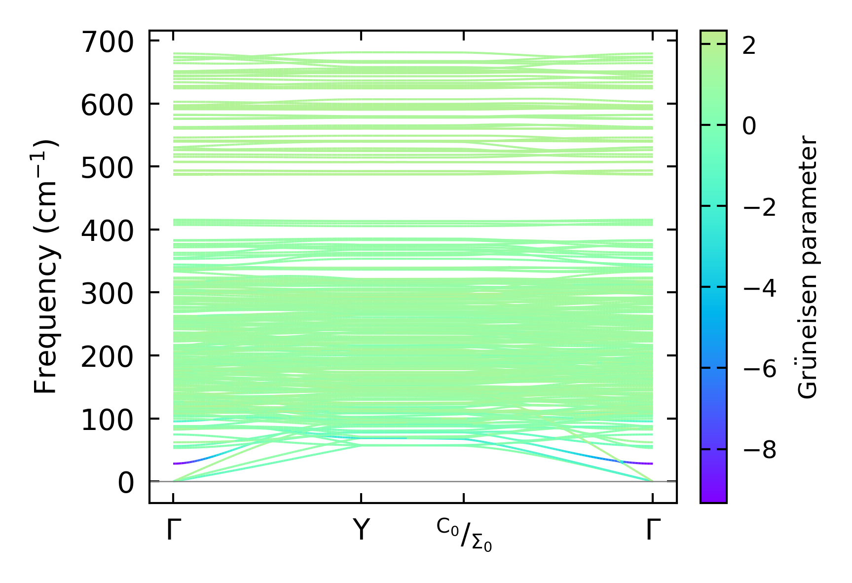
../../_images/fig_gruneisen4783.png

(b) Phonon dispersion with Grüneisen parameters

Thermal conductivity

3-phonon (LASSO) — q-mesh: 8x8x4, supercell: 1x1x1

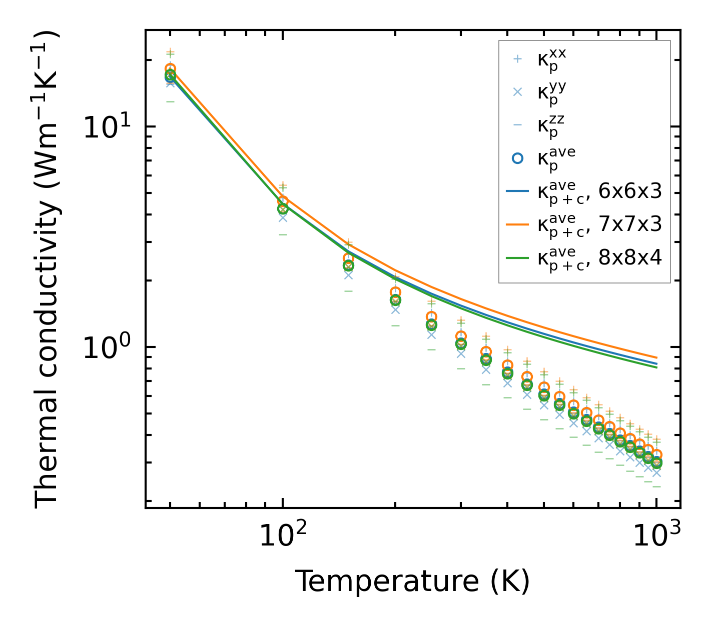
../../_images/fig_kappa9025.png

(a) Temperature-dependent lattice thermal conductivity

../../_images/fig_kappa_vs_grain_size4841.png

(b) Peierls lattice thermal conductivity w.r.t grain size

Phonon lifetime and scattering rates

../../_images/fig_lifetime4737.png

(a) Phonon lifetime due to phonon-phonon scattering

../../_images/fig_scat_rates4736.png

(b) Phonon scattering rates

Cumulative and spectral thermal conductivity

../../_images/fig_cumu_frequency4737.png

(a) Spectral and cumulative thermal conductivity w.r.t frequency

../../_images/fig_cumu_mfp4736.png

(b) Spectral and cumulative thermal conductivity w.r.t MFP

Force constants

../../_images/fig_fc211243.png

(a) Force constants w.r.t atomic distance

Summary

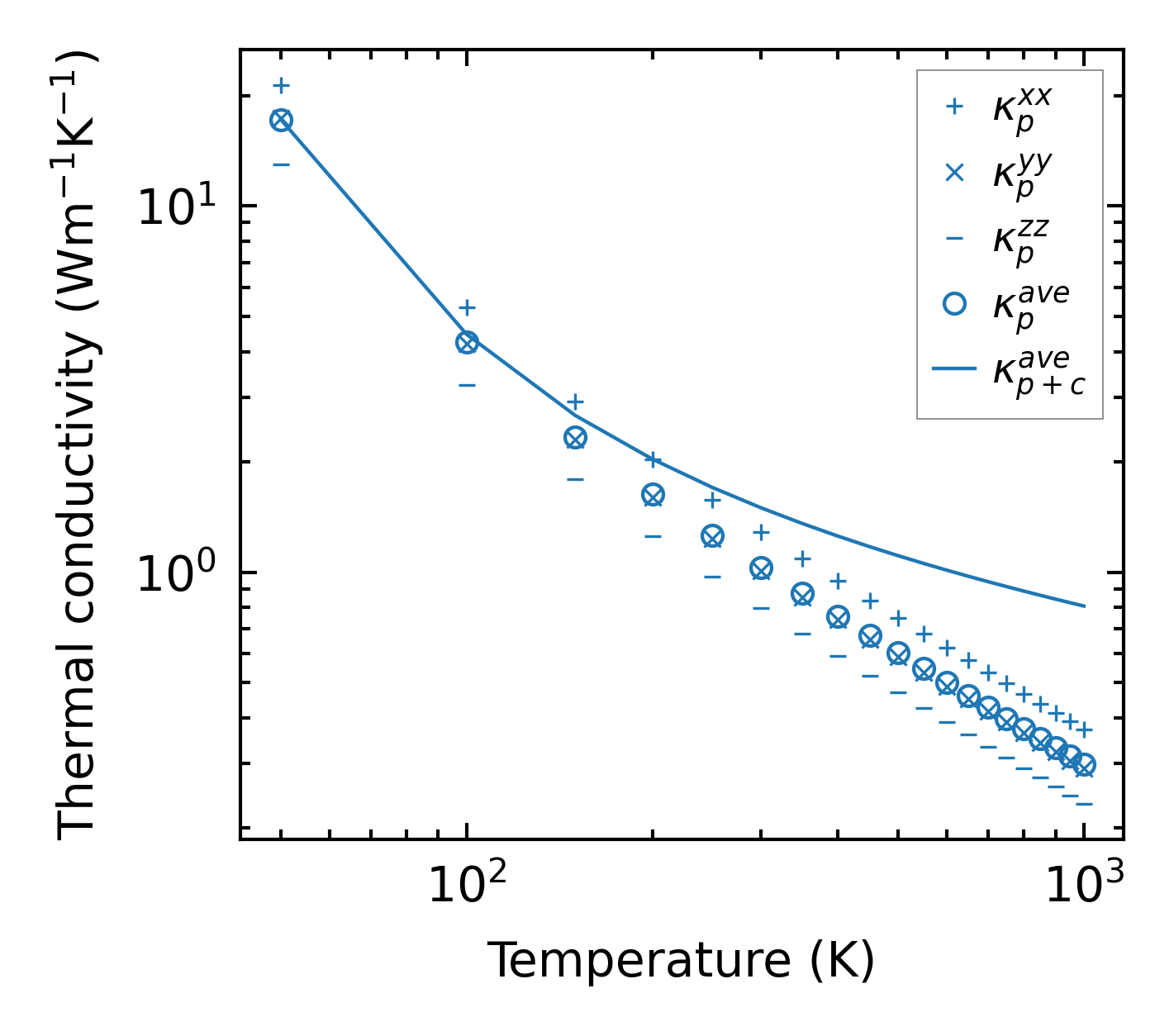
../../_images/fig_kappa9026.png

(a) Temperature-dependent lattice thermal conductivity

../../_images/fig_times19647.png

(b) Computation time