mp-28243/RbLiCl2/anharm

Harmonic properties

../../_images/fig_bandos_pr11767.png

(a) Phonon dispersion with participation ratio and DOS

../../_images/fig_thermo11767.png

(b) Thermodynamic properties

Grüneisen parameters

../../_images/fig_gru_all4901.png

(a) Grüneisen parameters

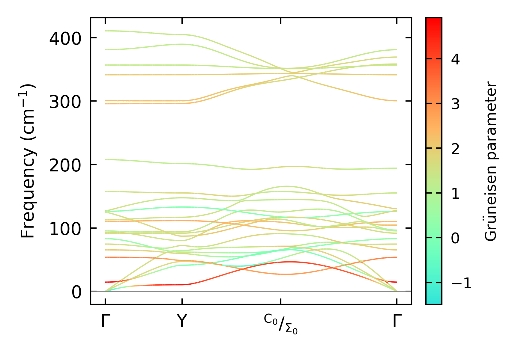
../../_images/fig_gruneisen4901.png

(b) Phonon dispersion with Grüneisen parameters

Thermal conductivity

3-phonon (LASSO) — q-mesh: 11x11x12, supercell: 4x1x2

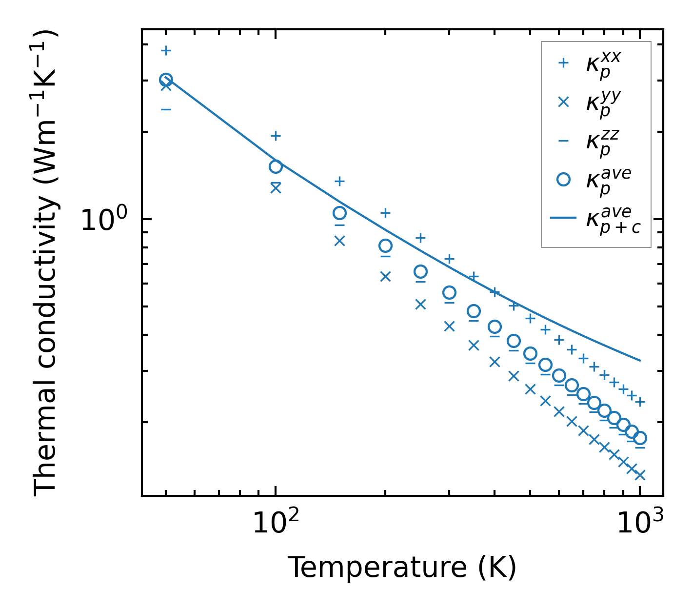
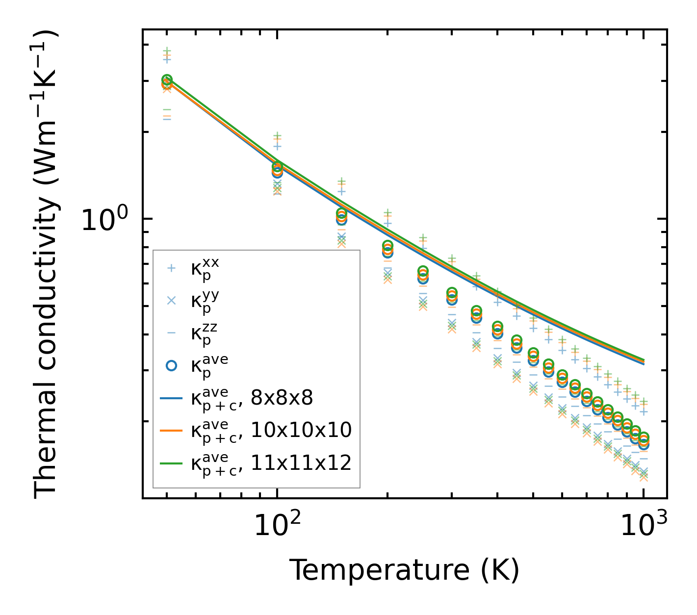
../../_images/fig_kappa9237.png

(a) Temperature-dependent lattice thermal conductivity

../../_images/fig_kappa_vs_grain_size4958.png

(b) Peierls lattice thermal conductivity w.r.t grain size

Phonon lifetime and scattering rates

../../_images/fig_lifetime4852.png

(a) Phonon lifetime due to phonon-phonon scattering

../../_images/fig_scat_rates4851.png

(b) Phonon scattering rates

Cumulative and spectral thermal conductivity

../../_images/fig_cumu_frequency4852.png

(a) Spectral and cumulative thermal conductivity w.r.t frequency

../../_images/fig_cumu_mfp4851.png

(b) Spectral and cumulative thermal conductivity w.r.t MFP

Force constants

../../_images/fig_fc211478.png

(a) Force constants w.r.t atomic distance

Summary

../../_images/fig_kappa9238.png

(a) Temperature-dependent lattice thermal conductivity

../../_images/fig_times19978.png

(b) Computation time