mp-28823/Ba4P3/anharm

Harmonic properties

../../_images/fig_bandos_pr11646.png

(a) Phonon dispersion with participation ratio and DOS

../../_images/fig_thermo11646.png

(b) Thermodynamic properties

Grüneisen parameters

../../_images/fig_gru_all4850.png

(a) Grüneisen parameters

../../_images/fig_gruneisen4850.png

(b) Phonon dispersion with Grüneisen parameters

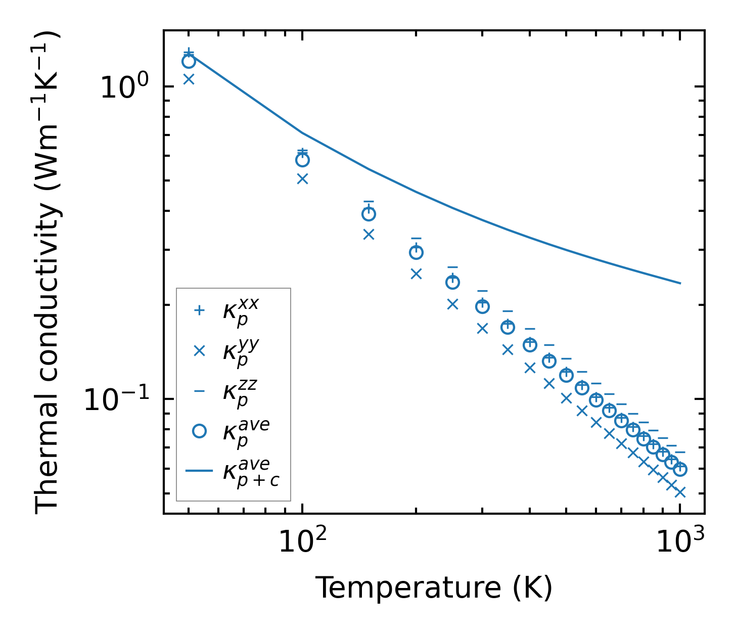
Thermal conductivity

3-phonon (LASSO) — q-mesh: 5x5x6, supercell: 1x1x2

../../_images/fig_kappa9144.png

(a) Temperature-dependent lattice thermal conductivity

../../_images/fig_kappa_vs_grain_size4906.png

(b) Peierls lattice thermal conductivity w.r.t grain size

Phonon lifetime and scattering rates

../../_images/fig_lifetime4801.png

(a) Phonon lifetime due to phonon-phonon scattering

../../_images/fig_scat_rates4800.png

(b) Phonon scattering rates

Cumulative and spectral thermal conductivity

../../_images/fig_cumu_frequency4801.png

(a) Spectral and cumulative thermal conductivity w.r.t frequency

../../_images/fig_cumu_mfp4800.png

(b) Spectral and cumulative thermal conductivity w.r.t MFP

Force constants

../../_images/fig_fc211358.png

(a) Force constants w.r.t atomic distance

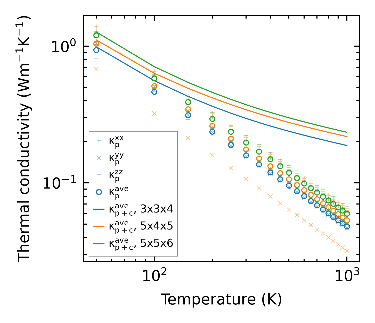
Summary

../../_images/fig_kappa9145.png

(a) Temperature-dependent lattice thermal conductivity

../../_images/fig_times19812.png

(b) Computation time