mp-28627-2/K4Br2O/anharm

Equation of state

../../_images/fig_bm5650.png

(a) Equation of state

Harmonic properties

../../_images/fig_bandos_pr11570.png

(a) Phonon dispersion with participation ratio and DOS

../../_images/fig_bandos15572.png

(b) Phonon dispersion and DOS

../../_images/fig_thermo11570.png

(c) Thermodynamic properties

Grüneisen parameters

../../_images/fig_gru_all4810.png

(a) Grüneisen parameters

../../_images/fig_gruneisen4810.png

(b) Phonon dispersion with Grüneisen parameters

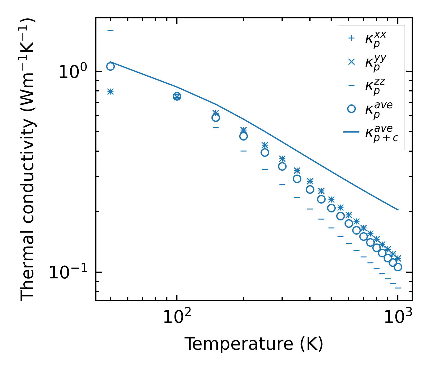
Thermal conductivity

3-phonon (LASSO), supercell 4x4x1 — q-mesh: 11x11x11, supercell: 4x4x1

../../_images/fig_kappa9074.png

(a) Temperature-dependent lattice thermal conductivity

../../_images/fig_kappa_vs_grain_size4868.png

(b) Peierls lattice thermal conductivity w.r.t grain size

Phonon lifetime and scattering rates

../../_images/fig_lifetime4764.png

(a) Phonon lifetime due to phonon-phonon scattering

../../_images/fig_scat_rates4763.png

(b) Phonon scattering rates

Cumulative and spectral thermal conductivity

../../_images/fig_cumu_frequency4764.png

(a) Spectral and cumulative thermal conductivity w.r.t frequency

../../_images/fig_cumu_mfp4763.png

(b) Spectral and cumulative thermal conductivity w.r.t MFP

Force constants

../../_images/fig_fc211283.png

(a) Force constants w.r.t atomic distance

Summary

../../_images/fig_times19701.png

(a) Computation time