mp-28719/BaAu2F8/harm

Harmonic properties

../../_images/fig_bandos_pr11605.png

(a) Phonon dispersion with participation ratio and DOS

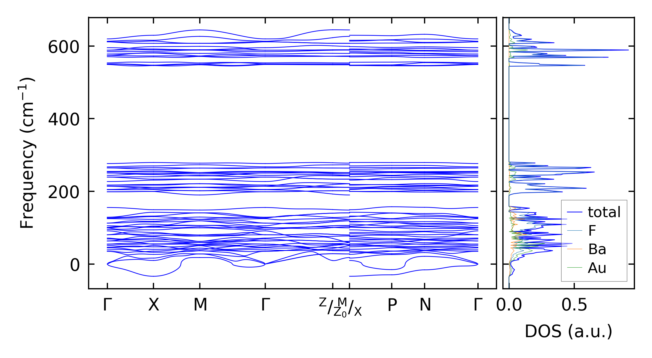
../../_images/fig_bandos15609.png

(b) Phonon dispersion and DOS

../../_images/fig_thermo11605.png

(c) Thermodynamic properties

Force constants

../../_images/fig_fc211317.png

(a) Force constants w.r.t atomic distance

Summary

../../_images/fig_times19751.png

(a) Computation time