mp-28996-2/Ag4Bi2O5/anharm

Equation of state

../../_images/fig_bm5550.png

(a) Equation of state

Harmonic properties

../../_images/fig_bandos_pr11351.png

(a) Phonon dispersion with participation ratio and DOS

../../_images/fig_bandos15348.png

(b) Phonon dispersion and DOS

../../_images/fig_thermo11351.png

(c) Thermodynamic properties

Grüneisen parameters

../../_images/fig_gru_all4695.png

(a) Grüneisen parameters

../../_images/fig_gruneisen4695.png

(b) Phonon dispersion with Grüneisen parameters

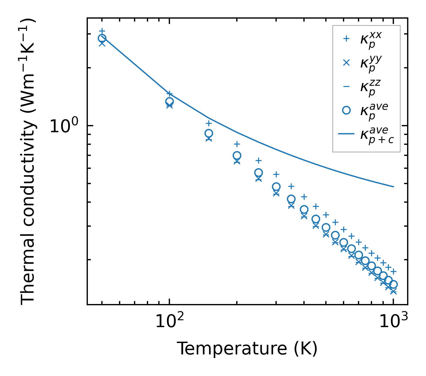
Thermal conductivity

3-phonon (LASSO), supercell 1x2x2 — q-mesh: 5x12x8, supercell: 1x2x2

../../_images/fig_kappa8863.png

(a) Temperature-dependent lattice thermal conductivity

../../_images/fig_kappa_vs_grain_size4754.png

(b) Peierls lattice thermal conductivity w.r.t grain size

Phonon lifetime and scattering rates

../../_images/fig_lifetime4651.png

(a) Phonon lifetime due to phonon-phonon scattering

../../_images/fig_scat_rates4650.png

(b) Phonon scattering rates

Cumulative and spectral thermal conductivity

../../_images/fig_cumu_frequency4651.png

(a) Spectral and cumulative thermal conductivity w.r.t frequency

../../_images/fig_cumu_mfp4650.png

(b) Spectral and cumulative thermal conductivity w.r.t MFP

Force constants

../../_images/fig_fc211067.png

(a) Force constants w.r.t atomic distance

Summary

../../_images/fig_times19379.png

(a) Computation time