mp-28395/B6P/anharm

Harmonic properties

../../_images/fig_bandos_pr11839.png

(a) Phonon dispersion with participation ratio and DOS

../../_images/fig_thermo11839.png

(b) Thermodynamic properties

Grüneisen parameters

../../_images/fig_gru_all4933.png

(a) Grüneisen parameters

../../_images/fig_gruneisen4933.png

(b) Phonon dispersion with Grüneisen parameters

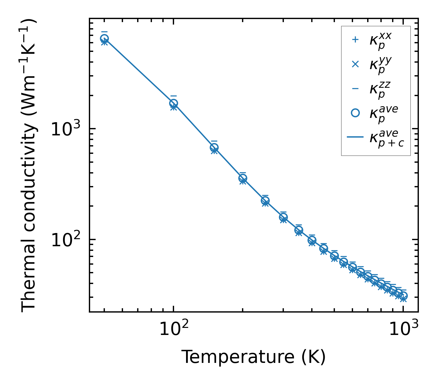
Thermal conductivity

3-phonon (LASSO) — q-mesh: 14x14x14, supercell: 1x1x1

../../_images/fig_kappa9302.png

(a) Temperature-dependent lattice thermal conductivity

../../_images/fig_kappa_vs_grain_size4992.png

(b) Peierls lattice thermal conductivity w.r.t grain size

Phonon lifetime and scattering rates

../../_images/fig_lifetime4884.png

(a) Phonon lifetime due to phonon-phonon scattering

../../_images/fig_scat_rates4883.png

(b) Phonon scattering rates

Cumulative and spectral thermal conductivity

../../_images/fig_cumu_frequency4884.png

(a) Spectral and cumulative thermal conductivity w.r.t frequency

../../_images/fig_cumu_mfp4883.png

(b) Spectral and cumulative thermal conductivity w.r.t MFP

Force constants

../../_images/fig_fc211550.png

(a) Force constants w.r.t atomic distance

Summary

../../_images/fig_kappa9303.png

(a) Temperature-dependent lattice thermal conductivity

../../_images/fig_times20086.png

(b) Computation time