mp-28453-2/CsAuI3/anharm

Equation of state

../../_images/fig_bm5779.png

(a) Equation of state

Harmonic properties

../../_images/fig_bandos_pr11851.png

(a) Phonon dispersion with participation ratio and DOS

../../_images/fig_thermo11851.png

(b) Thermodynamic properties

Grüneisen parameters

../../_images/fig_gru_all4939.png

(a) Grüneisen parameters

../../_images/fig_gruneisen4939.png

(b) Phonon dispersion with Grüneisen parameters

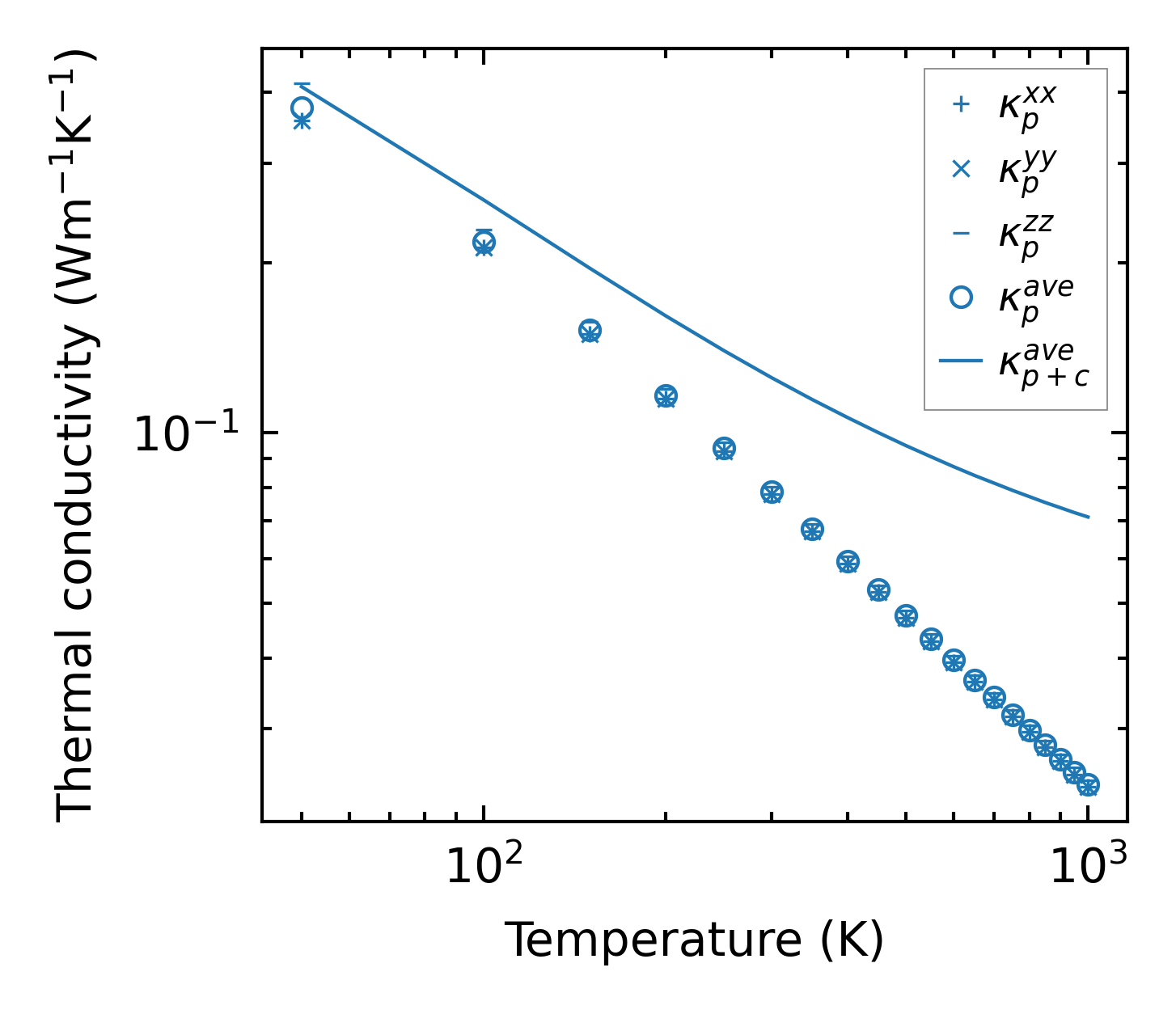
Thermal conductivity

3-phonon (LASSO) — q-mesh: 9x9x9, supercell: 2x2x1

../../_images/fig_kappa9311.png

(a) Temperature-dependent lattice thermal conductivity

../../_images/fig_kappa_vs_grain_size4997.png

(b) Peierls lattice thermal conductivity w.r.t grain size

Phonon lifetime and scattering rates

../../_images/fig_lifetime4889.png

(a) Phonon lifetime due to phonon-phonon scattering

../../_images/fig_scat_rates4888.png

(b) Phonon scattering rates

Cumulative and spectral thermal conductivity

../../_images/fig_cumu_frequency4889.png

(a) Spectral and cumulative thermal conductivity w.r.t frequency

../../_images/fig_cumu_mfp4888.png

(b) Spectral and cumulative thermal conductivity w.r.t MFP

Force constants

../../_images/fig_fc211562.png

(a) Force constants w.r.t atomic distance

Summary

../../_images/fig_kappa9312.png

(a) Temperature-dependent lattice thermal conductivity

../../_images/fig_times20111.png

(b) Computation time