mp-28549/Li8SiO6/anharm

Harmonic properties

../../_images/fig_bandos_pr11525.png

(a) Phonon dispersion with participation ratio and DOS

../../_images/fig_thermo11525.png

(b) Thermodynamic properties

Grüneisen parameters

../../_images/fig_gru_all4779.png

(a) Grüneisen parameters

../../_images/fig_gruneisen4779.png

(b) Phonon dispersion with Grüneisen parameters

Thermal conductivity

3-phonon (LASSO) — q-mesh: 13x13x7, supercell: 2x2x1

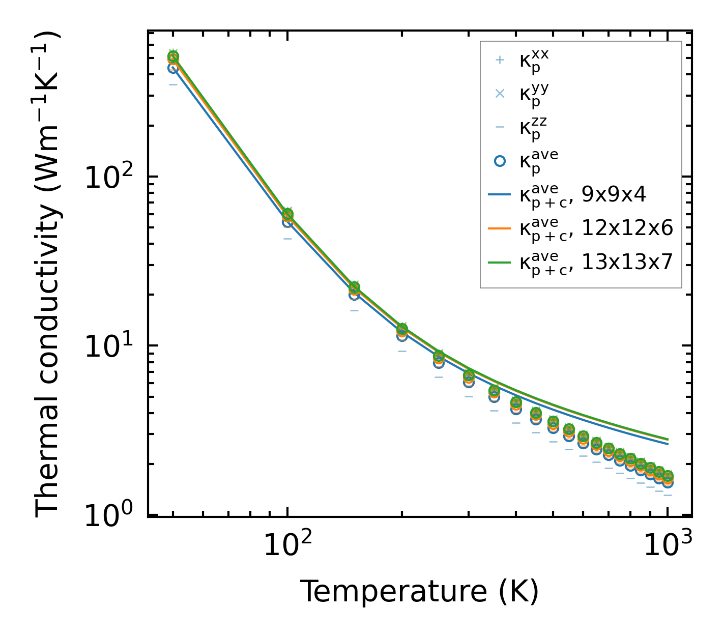
../../_images/fig_kappa9017.png

(a) Temperature-dependent lattice thermal conductivity

../../_images/fig_kappa_vs_grain_size4837.png

(b) Peierls lattice thermal conductivity w.r.t grain size

Phonon lifetime and scattering rates

../../_images/fig_lifetime4733.png

(a) Phonon lifetime due to phonon-phonon scattering

../../_images/fig_scat_rates4732.png

(b) Phonon scattering rates

Cumulative and spectral thermal conductivity

../../_images/fig_cumu_frequency4733.png

(a) Spectral and cumulative thermal conductivity w.r.t frequency

../../_images/fig_cumu_mfp4732.png

(b) Spectral and cumulative thermal conductivity w.r.t MFP

Force constants

../../_images/fig_fc211240.png

(a) Force constants w.r.t atomic distance

Summary

../../_images/fig_kappa9018.png

(a) Temperature-dependent lattice thermal conductivity

../../_images/fig_times19642.png

(b) Computation time