mp-28734/Zr6CoCl15/anharm

Harmonic properties

../../_images/fig_bandos_pr11614.png

(a) Phonon dispersion with participation ratio and DOS

../../_images/fig_thermo11614.png

(b) Thermodynamic properties

Grüneisen parameters

../../_images/fig_gru_all4832.png

(a) Grüneisen parameters

../../_images/fig_gruneisen4832.png

(b) Phonon dispersion with Grüneisen parameters

Thermal conductivity

3-phonon (LASSO) — q-mesh: 8x8x8, supercell: 1x1x1

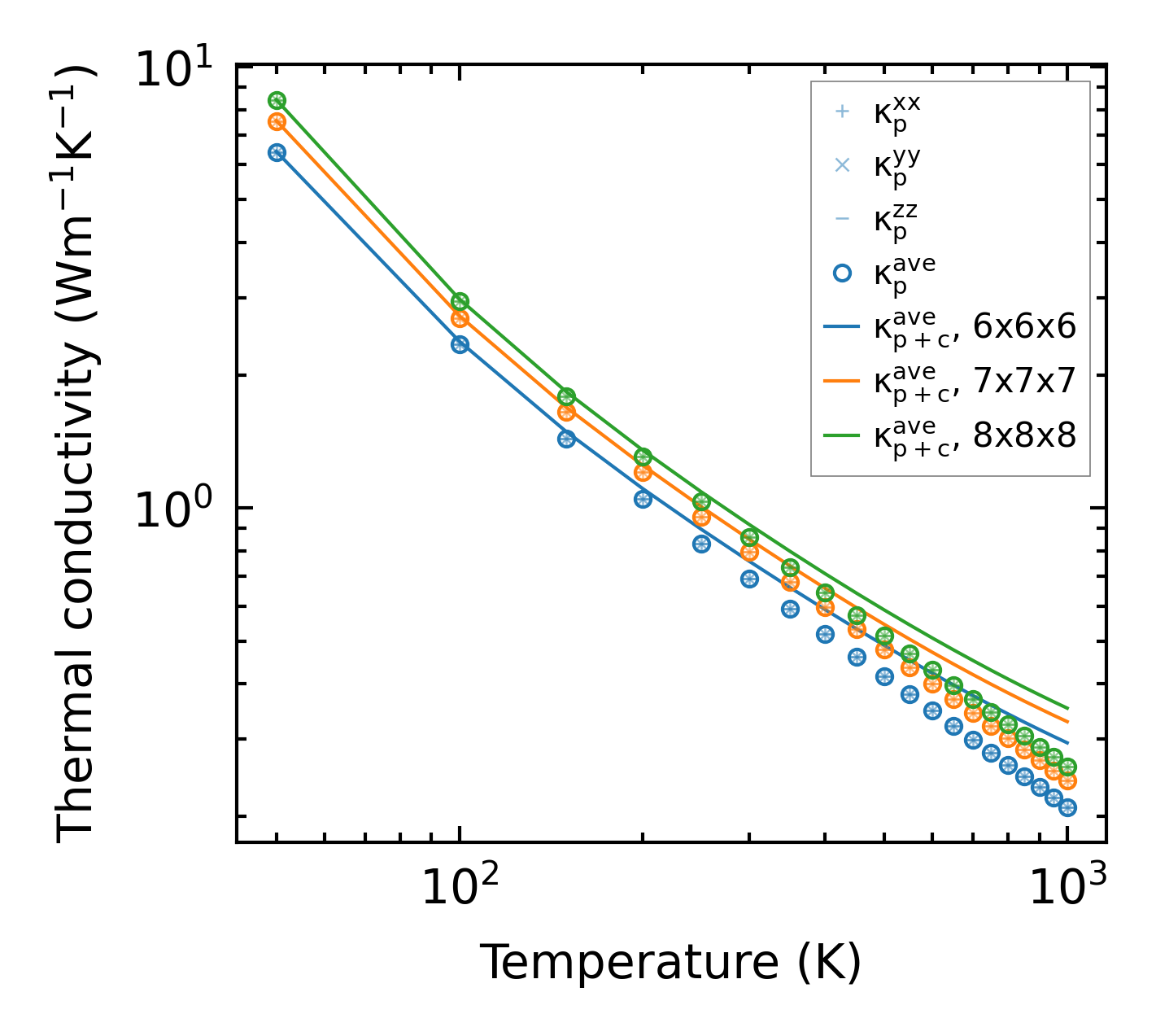
../../_images/fig_kappa9114.png

(a) Temperature-dependent lattice thermal conductivity

../../_images/fig_kappa_vs_grain_size4890.png

(b) Peierls lattice thermal conductivity w.r.t grain size

Phonon lifetime and scattering rates

../../_images/fig_lifetime4785.png

(a) Phonon lifetime due to phonon-phonon scattering

../../_images/fig_scat_rates4784.png

(b) Phonon scattering rates

Cumulative and spectral thermal conductivity

../../_images/fig_cumu_frequency4785.png

(a) Spectral and cumulative thermal conductivity w.r.t frequency

../../_images/fig_cumu_mfp4784.png

(b) Spectral and cumulative thermal conductivity w.r.t MFP

Force constants

../../_images/fig_fc211326.png

(a) Force constants w.r.t atomic distance

Summary

../../_images/fig_kappa9115.png

(a) Temperature-dependent lattice thermal conductivity

../../_images/fig_times19762.png

(b) Computation time