mp-28326-2/LiGaBr4/anharm

Equation of state

../../_images/fig_bm5755.png

(a) Equation of state

Harmonic properties

../../_images/fig_bandos_pr11804.png

(a) Phonon dispersion with participation ratio and DOS

../../_images/fig_bandos15813.png

(b) Phonon dispersion and DOS

../../_images/fig_thermo11804.png

(c) Thermodynamic properties

Grüneisen parameters

../../_images/fig_gru_all4919.png

(a) Grüneisen parameters

../../_images/fig_gruneisen4919.png

(b) Phonon dispersion with Grüneisen parameters

Thermal conductivity

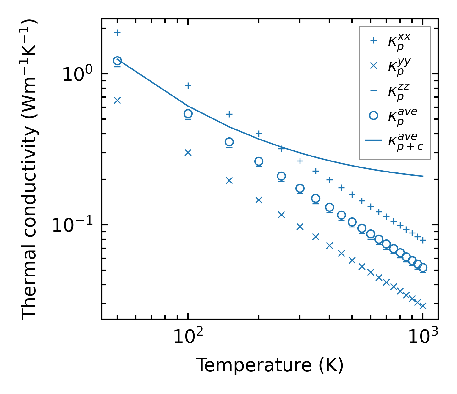
3-phonon (LASSO) — q-mesh: 9x10x5, supercell: 2x2x1

../../_images/fig_kappa9273.png

(a) Temperature-dependent lattice thermal conductivity

../../_images/fig_kappa_vs_grain_size4976.png

(b) Peierls lattice thermal conductivity w.r.t grain size

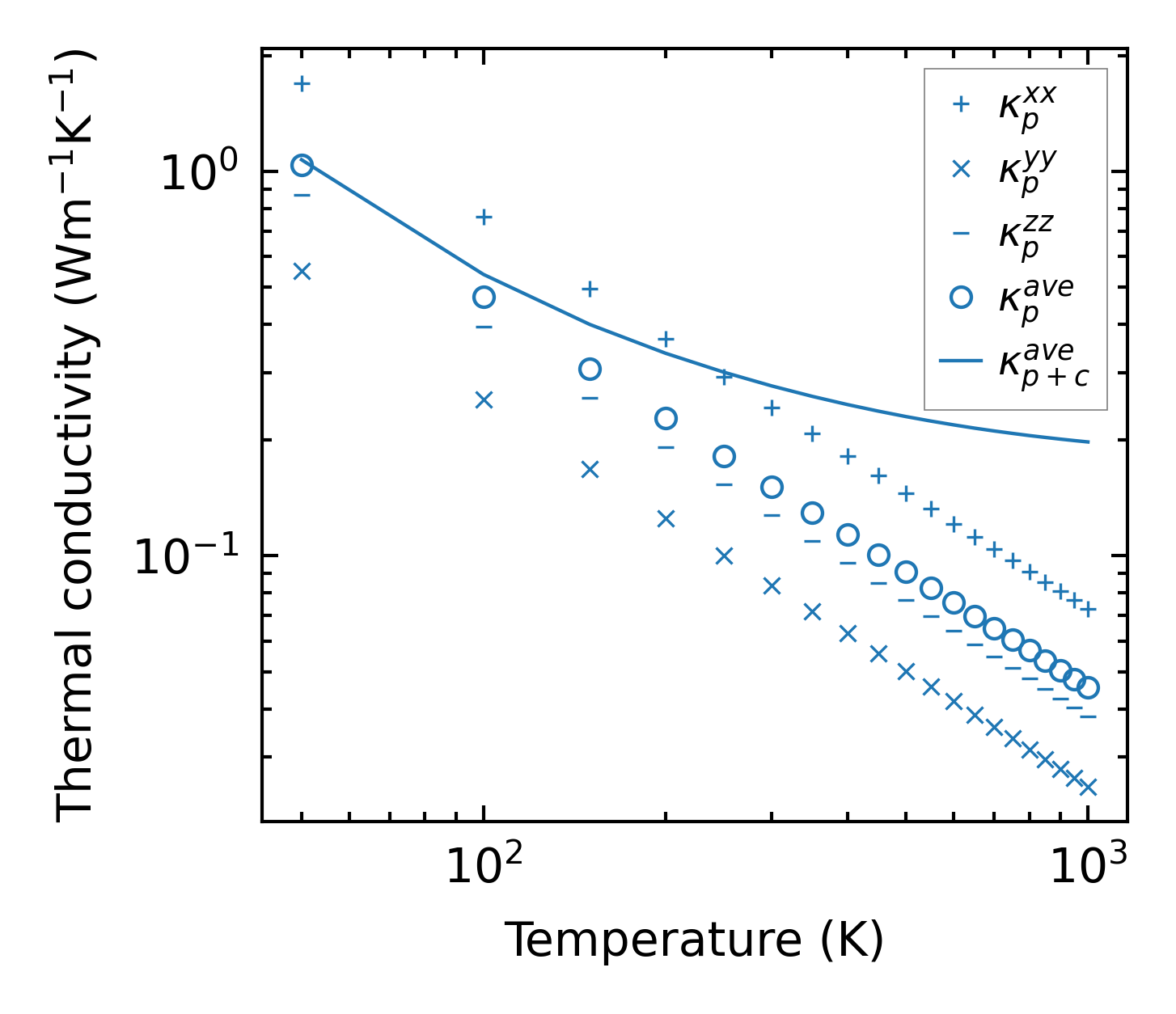
3-phonon (LASSO), supercell 2x2x2 — q-mesh: 9x10x5, supercell: 2x2x2

../../_images/fig_kappa9274.png

(a) Temperature-dependent lattice thermal conductivity

../../_images/fig_kappa_vs_grain_size4977.png

(b) Peierls lattice thermal conductivity w.r.t grain size

Phonon lifetime and scattering rates

../../_images/fig_lifetime4870.png

(a) Phonon lifetime due to phonon-phonon scattering

../../_images/fig_scat_rates4869.png

(b) Phonon scattering rates

Cumulative and spectral thermal conductivity

../../_images/fig_cumu_frequency4870.png

(a) Spectral and cumulative thermal conductivity w.r.t frequency

../../_images/fig_cumu_mfp4869.png

(b) Spectral and cumulative thermal conductivity w.r.t MFP

Force constants

../../_images/fig_fc211515.png

(a) Force constants w.r.t atomic distance

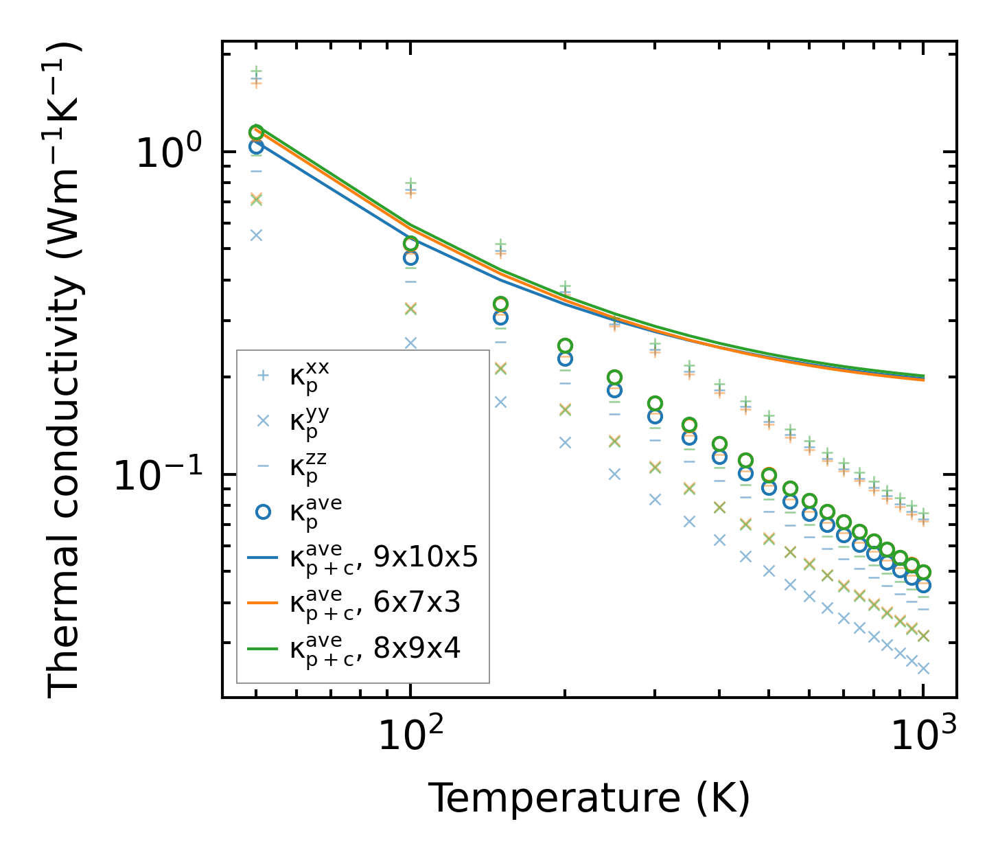
Summary

../../_images/fig_kappa9275.png

(a) Temperature-dependent lattice thermal conductivity

../../_images/fig_times20030.png

(b) Computation time