mp-28477-2/SrCl2O6/harm

Equation of state

../../_images/fig_bm5616.png

(a) Equation of state

Harmonic properties

../../_images/fig_bandos_pr11494.png

(a) Phonon dispersion with participation ratio and DOS

../../_images/fig_bandos15502.png

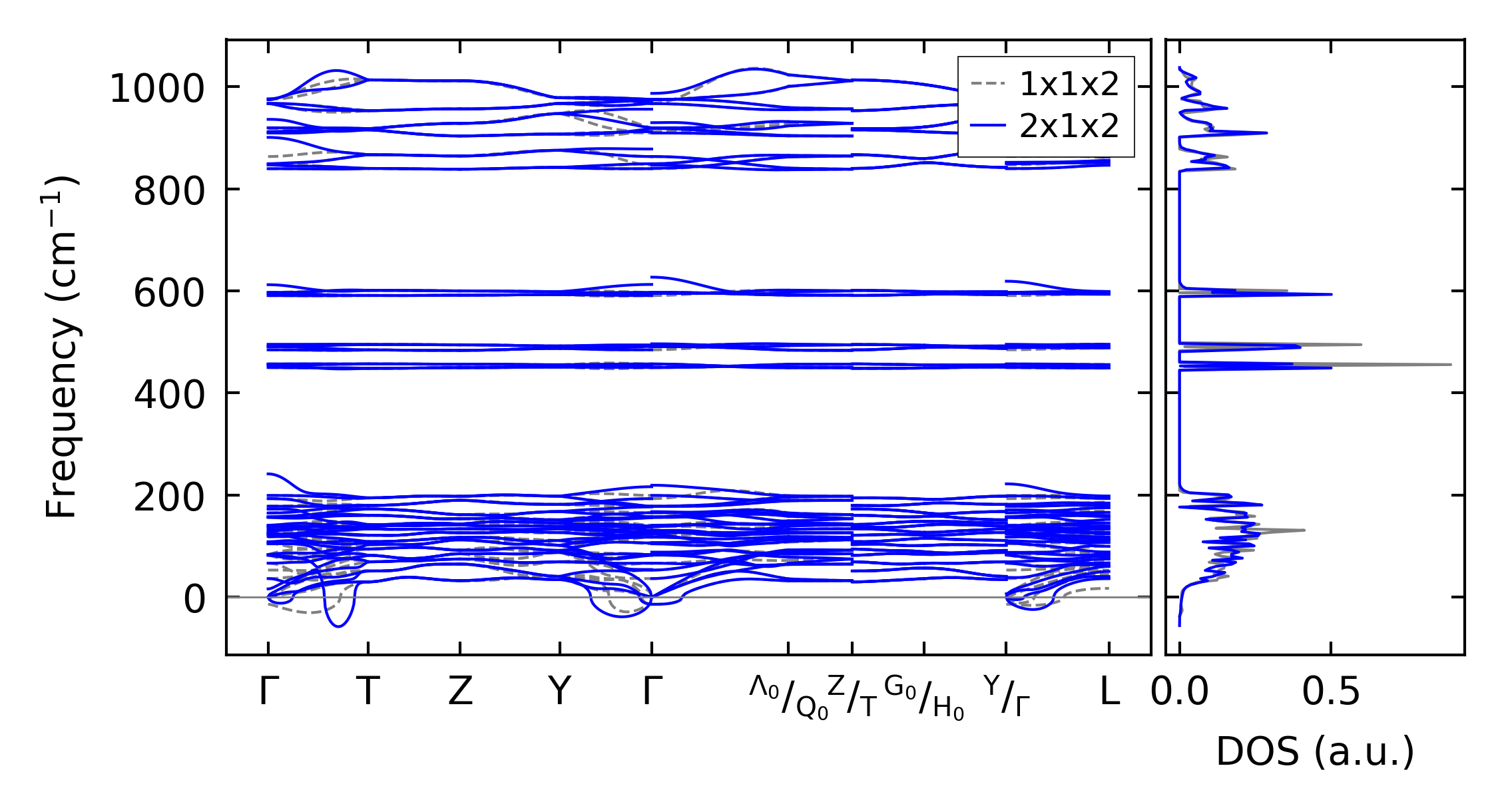
(b) Phonon dispersion and DOS

../../_images/fig_thermo11494.png

(c) Thermodynamic properties

Force constants

../../_images/fig_fc211209.png

(a) Force constants w.r.t atomic distance

Summary

../../_images/fig_times19595.png

(a) Computation time