mp-28034/Cu2P7/anharm

Harmonic properties

../../_images/fig_bandos_pr12011.png

(a) Phonon dispersion with participation ratio and DOS

../../_images/fig_thermo12011.png

(b) Thermodynamic properties

Grüneisen parameters

../../_images/fig_gru_all5007.png

(a) Grüneisen parameters

../../_images/fig_gruneisen5007.png

(b) Phonon dispersion with Grüneisen parameters

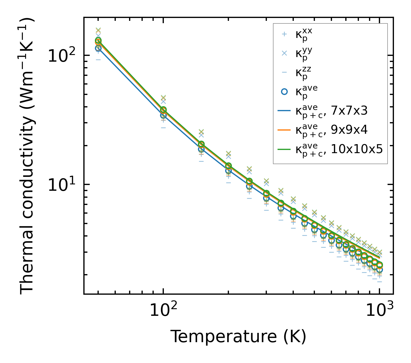
Thermal conductivity

3-phonon (LASSO) — q-mesh: 10x10x5, supercell: 1x2x1

../../_images/fig_kappa9436.png

(a) Temperature-dependent lattice thermal conductivity

../../_images/fig_kappa_vs_grain_size5066.png

(b) Peierls lattice thermal conductivity w.r.t grain size

Phonon lifetime and scattering rates

../../_images/fig_lifetime4957.png

(a) Phonon lifetime due to phonon-phonon scattering

../../_images/fig_scat_rates4956.png

(b) Phonon scattering rates

Cumulative and spectral thermal conductivity

../../_images/fig_cumu_frequency4957.png

(a) Spectral and cumulative thermal conductivity w.r.t frequency

../../_images/fig_cumu_mfp4956.png

(b) Spectral and cumulative thermal conductivity w.r.t MFP

Force constants

../../_images/fig_fc211714.png

(a) Force constants w.r.t atomic distance

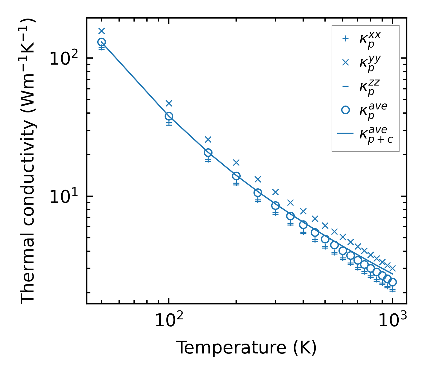
Summary

../../_images/fig_kappa9437.png

(a) Temperature-dependent lattice thermal conductivity

../../_images/fig_times20358.png

(b) Computation time