mp-28810/Na2CS3/harm

Harmonic properties

../../_images/fig_bandos_pr11644.png

(a) Phonon dispersion with participation ratio and DOS

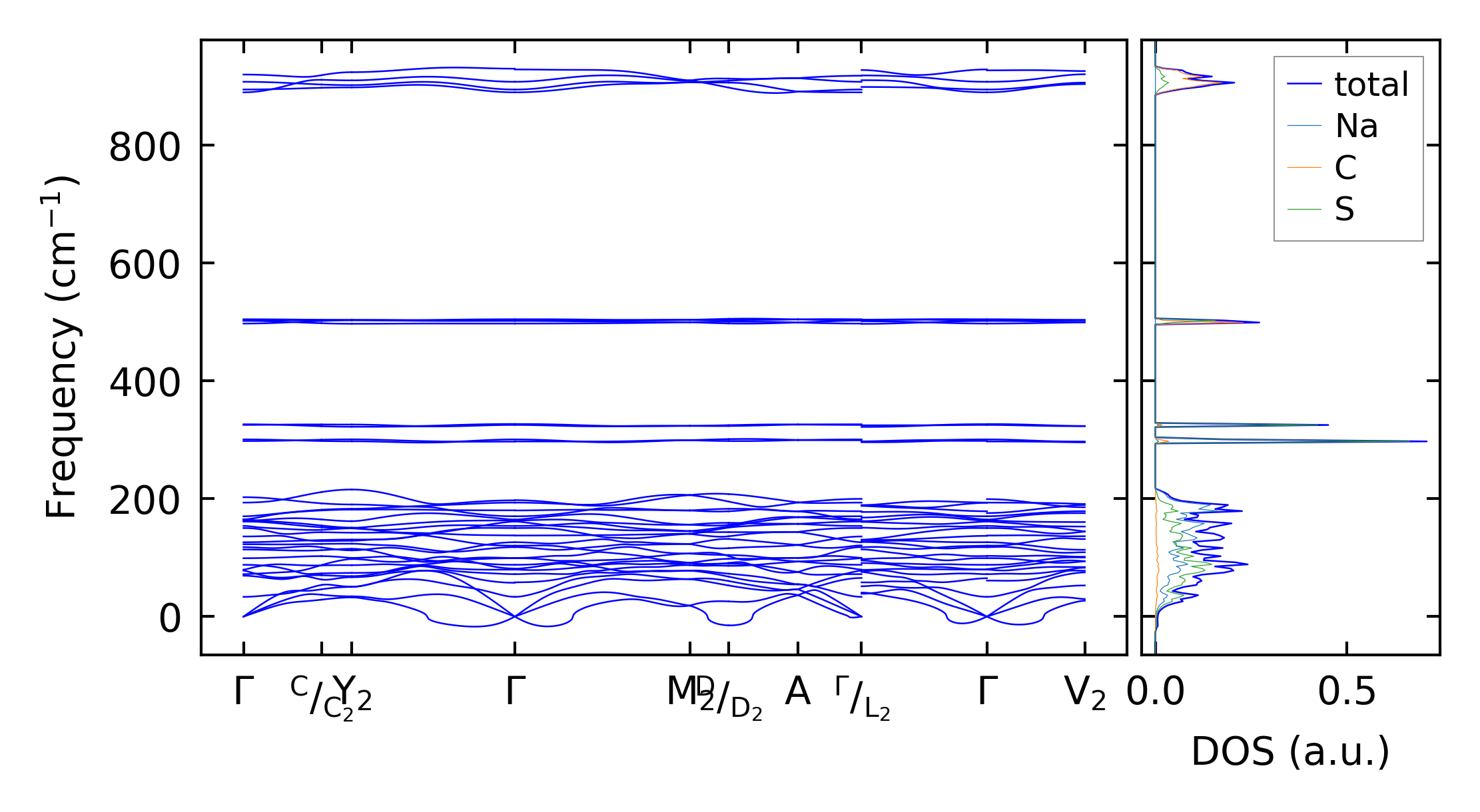
../../_images/fig_bandos15648.png

(b) Phonon dispersion and DOS

../../_images/fig_thermo11644.png

(c) Thermodynamic properties

Force constants

../../_images/fig_fc211356.png

(a) Force constants w.r.t atomic distance

Summary

../../_images/fig_times19808.png

(a) Computation time