mp-28606-2/K3AuSe13/anharm

Harmonic properties

../../_images/fig_bandos_pr11562.png

(a) Phonon dispersion with participation ratio and DOS

../../_images/fig_thermo11562.png

(b) Thermodynamic properties

Grüneisen parameters

../../_images/fig_gru_all4807.png

(a) Grüneisen parameters

../../_images/fig_gruneisen4807.png

(b) Phonon dispersion with Grüneisen parameters

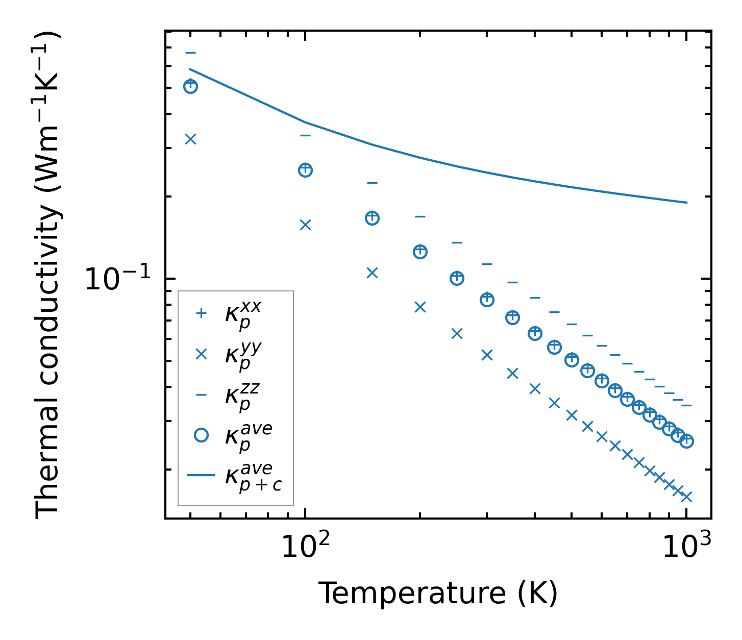
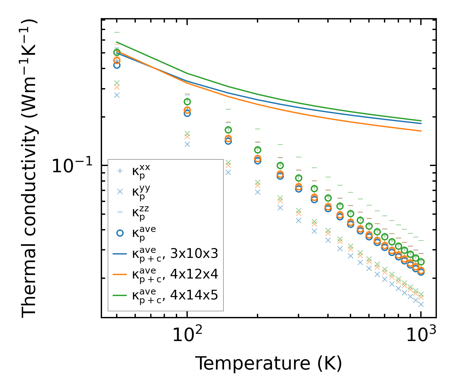
Thermal conductivity

3-phonon (LASSO) — q-mesh: 4x14x5, supercell: 1x3x1

../../_images/fig_kappa9069.png

(a) Temperature-dependent lattice thermal conductivity

../../_images/fig_kappa_vs_grain_size4865.png

(b) Peierls lattice thermal conductivity w.r.t grain size

Phonon lifetime and scattering rates

../../_images/fig_lifetime4761.png

(a) Phonon lifetime due to phonon-phonon scattering

../../_images/fig_scat_rates4760.png

(b) Phonon scattering rates

Cumulative and spectral thermal conductivity

../../_images/fig_cumu_frequency4761.png

(a) Spectral and cumulative thermal conductivity w.r.t frequency

../../_images/fig_cumu_mfp4760.png

(b) Spectral and cumulative thermal conductivity w.r.t MFP

Force constants

../../_images/fig_fc211275.png

(a) Force constants w.r.t atomic distance

Summary

../../_images/fig_kappa9070.png

(a) Temperature-dependent lattice thermal conductivity

../../_images/fig_times19691.png

(b) Computation time