mp-28302/K4CdP2/anharm

Harmonic properties

../../_images/fig_bandos_pr11794.png

(a) Phonon dispersion with participation ratio and DOS

../../_images/fig_thermo11794.png

(b) Thermodynamic properties

Grüneisen parameters

../../_images/fig_gru_all4913.png

(a) Grüneisen parameters

../../_images/fig_gruneisen4913.png

(b) Phonon dispersion with Grüneisen parameters

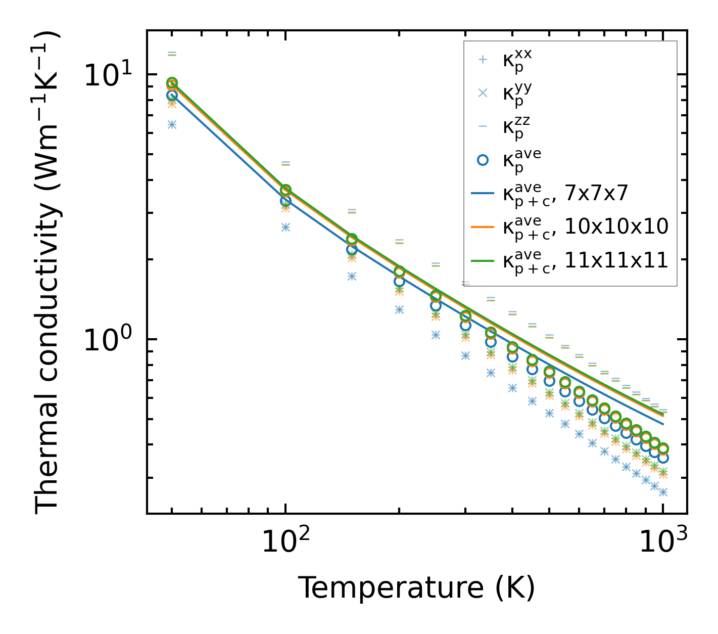
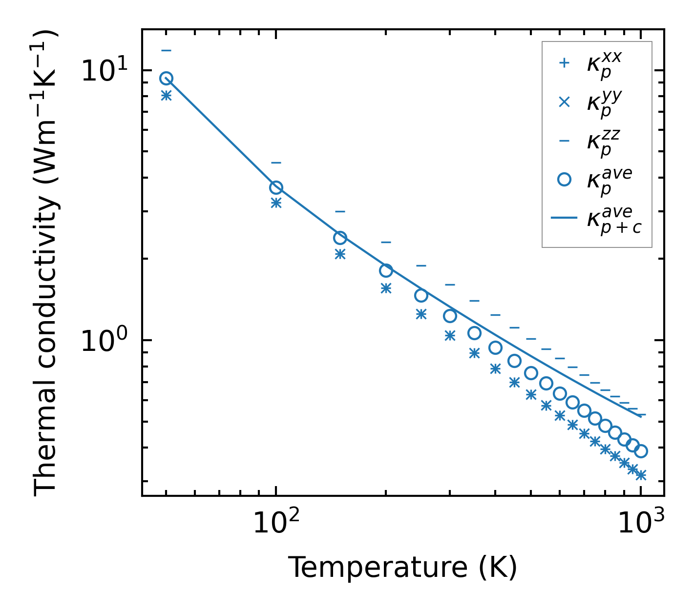
Thermal conductivity

3-phonon (LASSO) — q-mesh: 11x11x11, supercell: 2x2x1

../../_images/fig_kappa9261.png

(a) Temperature-dependent lattice thermal conductivity

../../_images/fig_kappa_vs_grain_size4970.png

(b) Peierls lattice thermal conductivity w.r.t grain size

Phonon lifetime and scattering rates

../../_images/fig_lifetime4864.png

(a) Phonon lifetime due to phonon-phonon scattering

../../_images/fig_scat_rates4863.png

(b) Phonon scattering rates

Cumulative and spectral thermal conductivity

../../_images/fig_cumu_frequency4864.png

(a) Spectral and cumulative thermal conductivity w.r.t frequency

../../_images/fig_cumu_mfp4863.png

(b) Spectral and cumulative thermal conductivity w.r.t MFP

Force constants

../../_images/fig_fc211505.png

(a) Force constants w.r.t atomic distance

Summary

../../_images/fig_kappa9262.png

(a) Temperature-dependent lattice thermal conductivity

../../_images/fig_times20017.png

(b) Computation time