mp-28242-2/Tl6SCl4/anharm

Equation of state

../../_images/fig_bm5741.png

(a) Equation of state

Harmonic properties

../../_images/fig_bandos_pr11766.png

(a) Phonon dispersion with participation ratio and DOS

../../_images/fig_bandos15778.png

(b) Phonon dispersion and DOS

../../_images/fig_thermo11766.png

(c) Thermodynamic properties

Grüneisen parameters

../../_images/fig_gru_all4900.png

(a) Grüneisen parameters

../../_images/fig_gruneisen4900.png

(b) Phonon dispersion with Grüneisen parameters

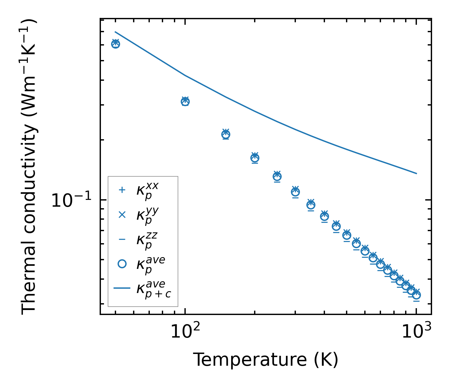
Thermal conductivity

3-phonon (LASSO) — q-mesh: 8x8x7, supercell: 2x2x1

../../_images/fig_kappa9234.png

(a) Temperature-dependent lattice thermal conductivity

../../_images/fig_kappa_vs_grain_size4956.png

(b) Peierls lattice thermal conductivity w.r.t grain size

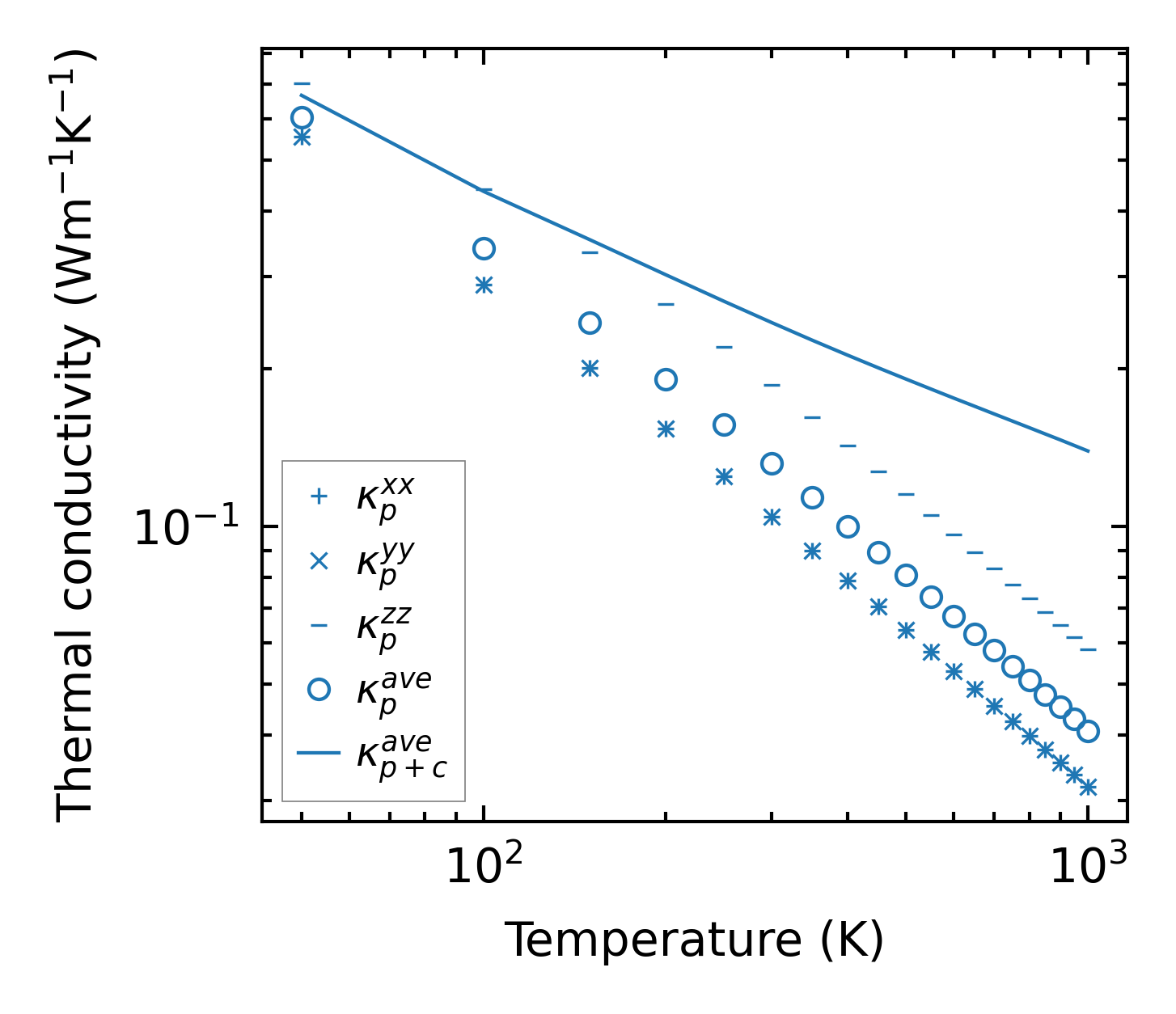
3-phonon (LASSO), supercell 2x2x2 — q-mesh: 8x8x7, supercell: 2x2x2

../../_images/fig_kappa9235.png

(a) Temperature-dependent lattice thermal conductivity

../../_images/fig_kappa_vs_grain_size4957.png

(b) Peierls lattice thermal conductivity w.r.t grain size

Phonon lifetime and scattering rates

../../_images/fig_lifetime4851.png

(a) Phonon lifetime due to phonon-phonon scattering

../../_images/fig_scat_rates4850.png

(b) Phonon scattering rates

Cumulative and spectral thermal conductivity

../../_images/fig_cumu_frequency4851.png

(a) Spectral and cumulative thermal conductivity w.r.t frequency

../../_images/fig_cumu_mfp4850.png

(b) Spectral and cumulative thermal conductivity w.r.t MFP

Force constants

../../_images/fig_fc211477.png

(a) Force constants w.r.t atomic distance

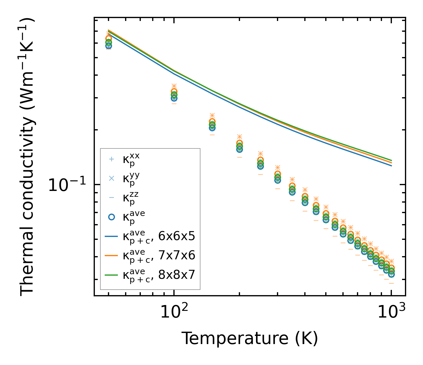
Summary

../../_images/fig_kappa9236.png

(a) Temperature-dependent lattice thermal conductivity

../../_images/fig_times19977.png

(b) Computation time