mp-28347/K3Al2As3/anharm

Harmonic properties

../../_images/fig_bandos_pr11811.png

(a) Phonon dispersion with participation ratio and DOS

../../_images/fig_thermo11811.png

(b) Thermodynamic properties

Grüneisen parameters

../../_images/fig_gru_all4922.png

(a) Grüneisen parameters

../../_images/fig_gruneisen4922.png

(b) Phonon dispersion with Grüneisen parameters

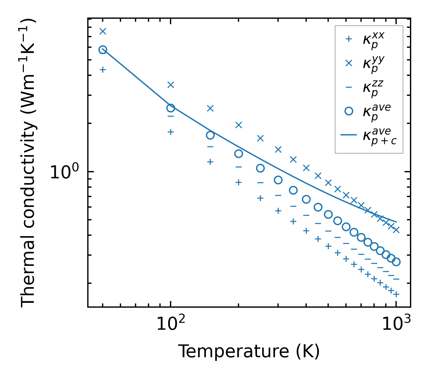
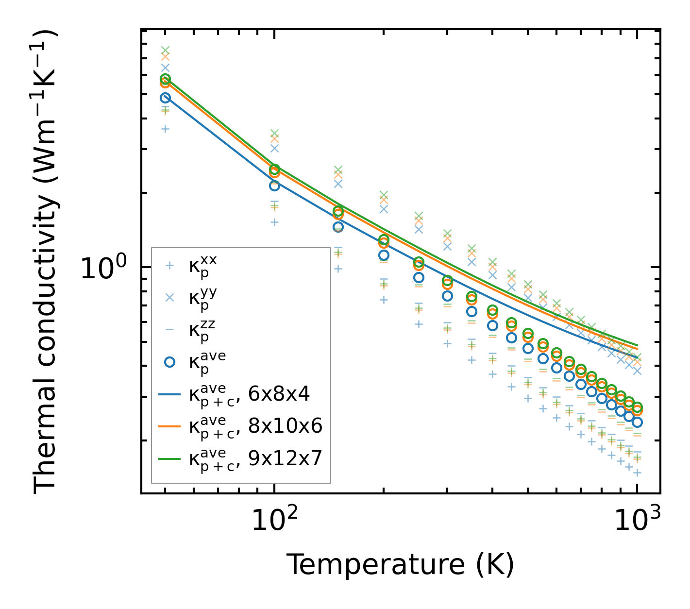
Thermal conductivity

3-phonon (LASSO) — q-mesh: 9x12x7, supercell: 2x2x2

../../_images/fig_kappa9280.png

(a) Temperature-dependent lattice thermal conductivity

../../_images/fig_kappa_vs_grain_size4980.png

(b) Peierls lattice thermal conductivity w.r.t grain size

Phonon lifetime and scattering rates

../../_images/fig_lifetime4873.png

(a) Phonon lifetime due to phonon-phonon scattering

../../_images/fig_scat_rates4872.png

(b) Phonon scattering rates

Cumulative and spectral thermal conductivity

../../_images/fig_cumu_frequency4873.png

(a) Spectral and cumulative thermal conductivity w.r.t frequency

../../_images/fig_cumu_mfp4872.png

(b) Spectral and cumulative thermal conductivity w.r.t MFP

Force constants

../../_images/fig_fc211522.png

(a) Force constants w.r.t atomic distance

Summary

../../_images/fig_kappa9281.png

(a) Temperature-dependent lattice thermal conductivity

../../_images/fig_times20046.png

(b) Computation time