mp-28873/CsBrO3/anharm

Equation of state

../../_images/fig_bm5692.png

(a) Equation of state

Harmonic properties

../../_images/fig_bandos_pr11662.png

(a) Phonon dispersion with participation ratio and DOS

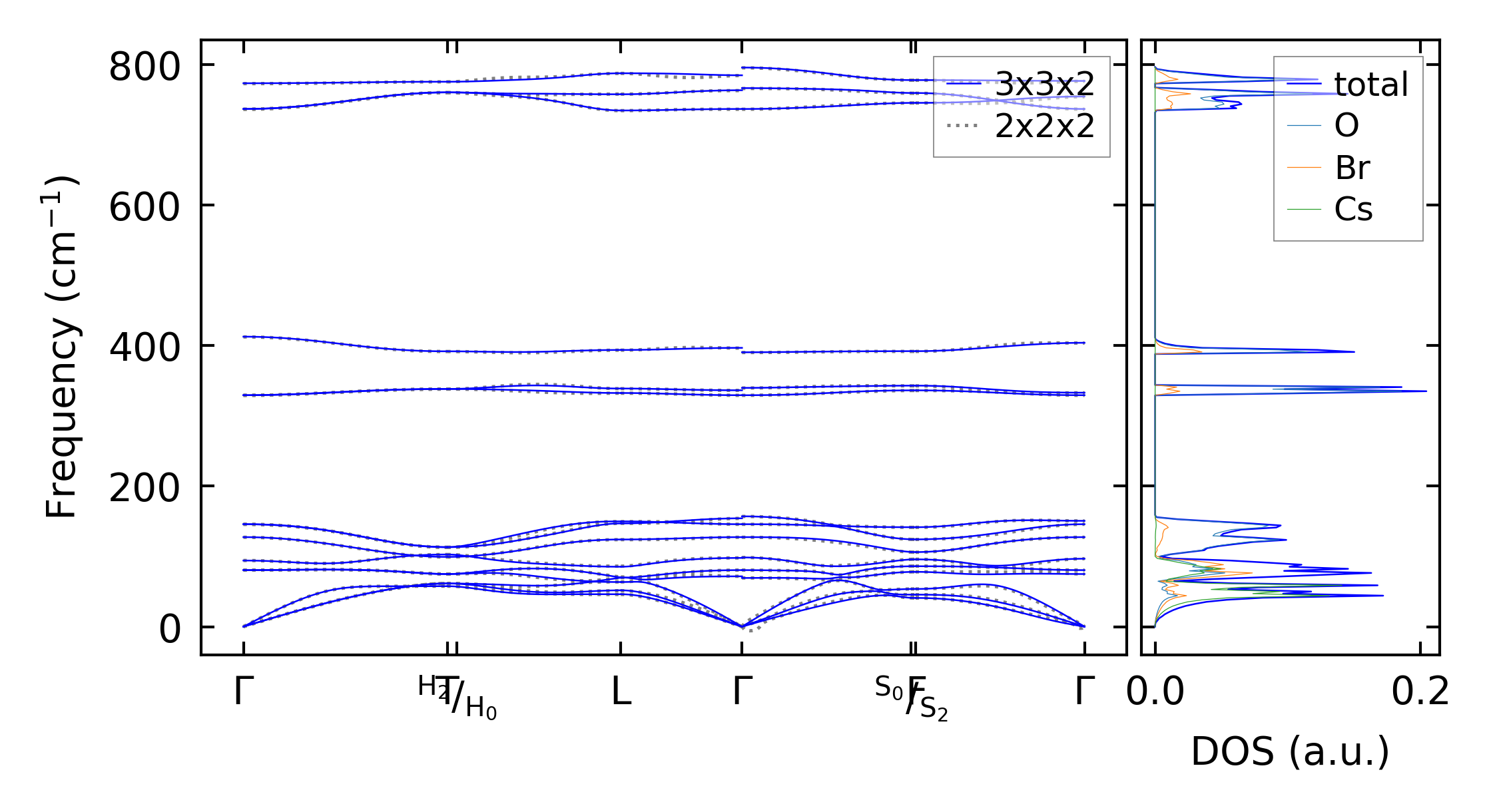
../../_images/fig_bandos15665.png

(b) Phonon dispersion and DOS

../../_images/fig_thermo11662.png

(c) Thermodynamic properties

Thermal conductivity

Force constants

../../_images/fig_fc211374.png

(a) Force constants w.r.t atomic distance

Summary

../../_images/fig_times19836.png

(a) Computation time