mp-28554/Ca2AsI/anharm

Harmonic properties

../../_images/fig_bandos_pr11527.png

(a) Phonon dispersion with participation ratio and DOS

../../_images/fig_thermo11527.png

(b) Thermodynamic properties

Grüneisen parameters

../../_images/fig_gru_all4781.png

(a) Grüneisen parameters

../../_images/fig_gruneisen4781.png

(b) Phonon dispersion with Grüneisen parameters

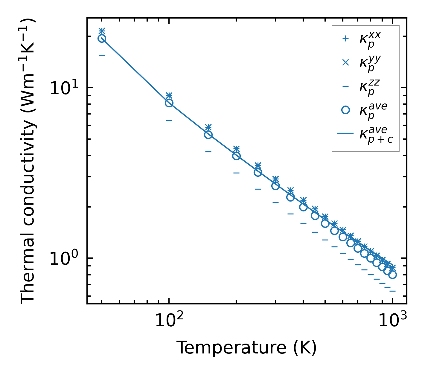
Thermal conductivity

3-phonon — q-mesh: 14x14x14, supercell: 3x3x1

../../_images/fig_kappa9021.png

(a) Temperature-dependent lattice thermal conductivity

../../_images/fig_kappa_vs_grain_size4839.png

(b) Peierls lattice thermal conductivity w.r.t grain size

Phonon lifetime and scattering rates

../../_images/fig_lifetime4735.png

(a) Phonon lifetime due to phonon-phonon scattering

../../_images/fig_scat_rates4734.png

(b) Phonon scattering rates

Cumulative and spectral thermal conductivity

../../_images/fig_cumu_frequency4735.png

(a) Spectral and cumulative thermal conductivity w.r.t frequency

../../_images/fig_cumu_mfp4734.png

(b) Spectral and cumulative thermal conductivity w.r.t MFP

Force constants

../../_images/fig_fc3286.png

(a) Force constants w.r.t atomic distance

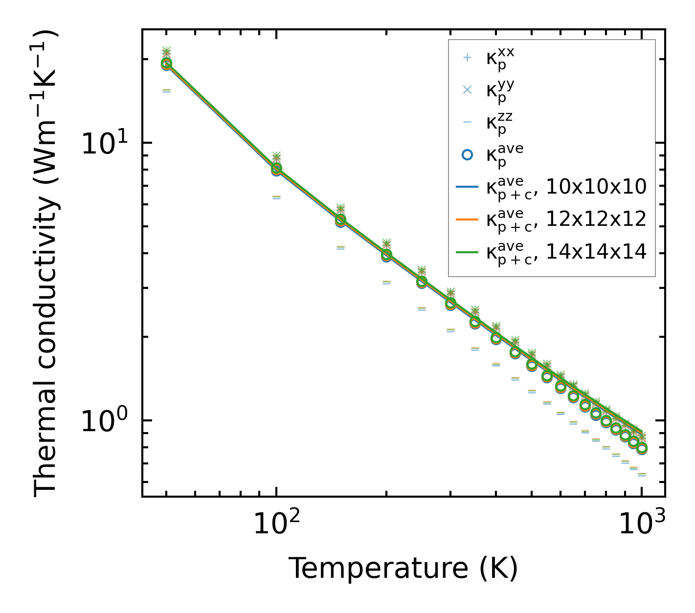
Summary

../../_images/fig_kappa9022.png

(a) Temperature-dependent lattice thermal conductivity

../../_images/fig_times19645.png

(b) Computation time