mp-28365-2/Na3AuO2/anharm

Equation of state

../../_images/fig_bm5764.png

(a) Equation of state

Harmonic properties

../../_images/fig_bandos_pr11824.png

(a) Phonon dispersion with participation ratio and DOS

../../_images/fig_thermo11824.png

(b) Thermodynamic properties

Grüneisen parameters

../../_images/fig_gru_all4926.png

(a) Grüneisen parameters

../../_images/fig_gruneisen4926.png

(b) Phonon dispersion with Grüneisen parameters

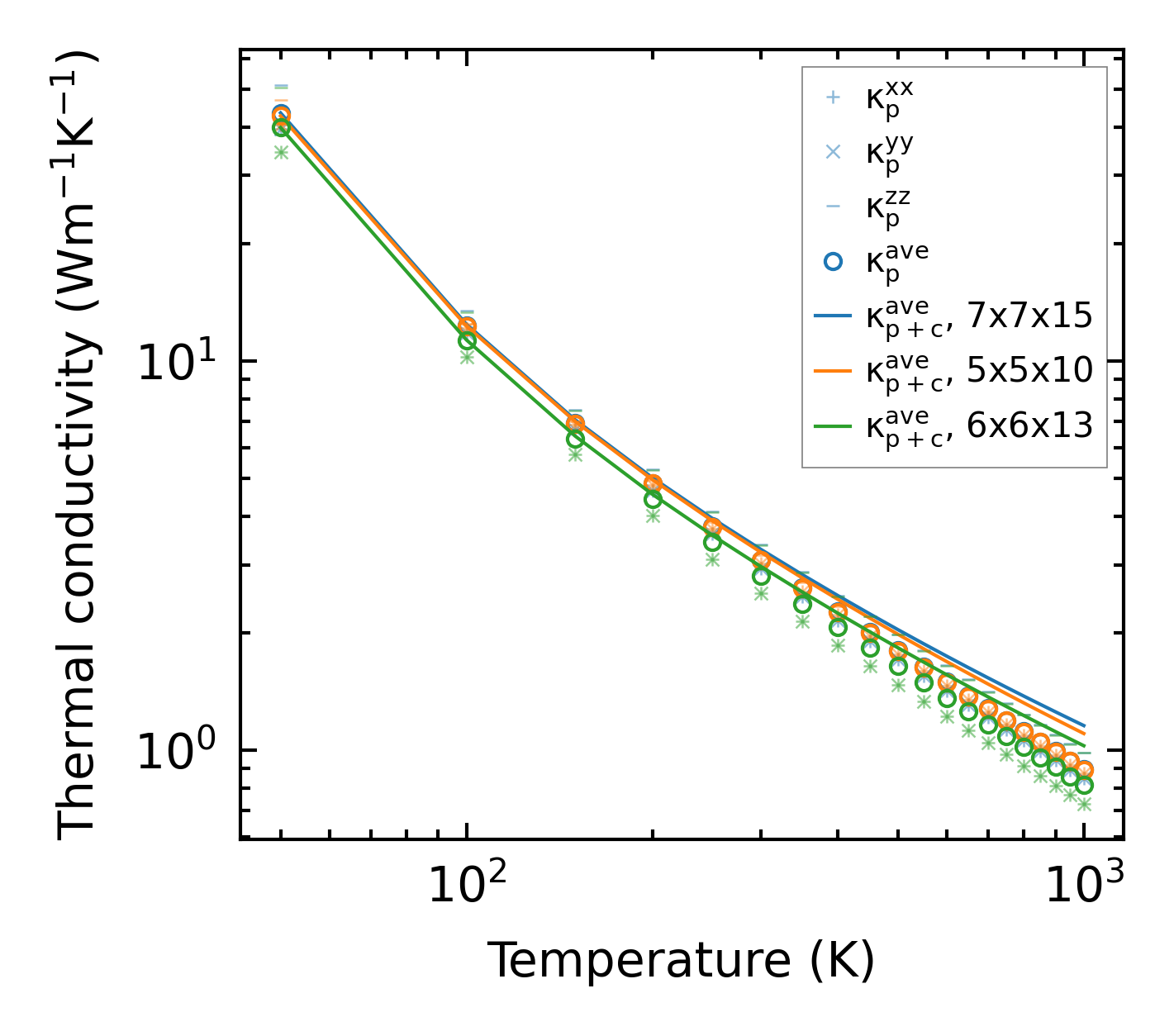
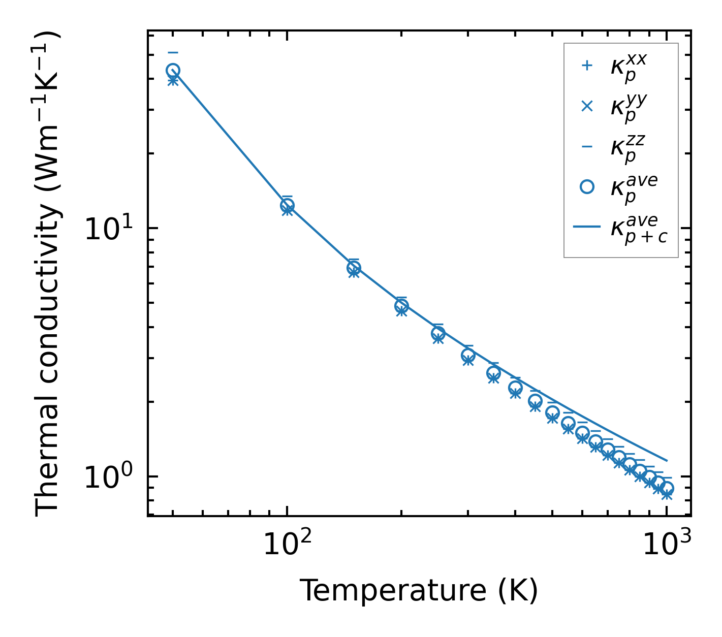
Thermal conductivity

3-phonon (LASSO) — q-mesh: 7x7x15, supercell: 1x1x3

../../_images/fig_kappa9288.png

(a) Temperature-dependent lattice thermal conductivity

../../_images/fig_kappa_vs_grain_size4984.png

(b) Peierls lattice thermal conductivity w.r.t grain size

Phonon lifetime and scattering rates

../../_images/fig_lifetime4877.png

(a) Phonon lifetime due to phonon-phonon scattering

../../_images/fig_scat_rates4876.png

(b) Phonon scattering rates

Cumulative and spectral thermal conductivity

../../_images/fig_cumu_frequency4877.png

(a) Spectral and cumulative thermal conductivity w.r.t frequency

../../_images/fig_cumu_mfp4876.png

(b) Spectral and cumulative thermal conductivity w.r.t MFP

Force constants

../../_images/fig_fc211535.png

(a) Force constants w.r.t atomic distance

Summary

../../_images/fig_kappa9289.png

(a) Temperature-dependent lattice thermal conductivity

../../_images/fig_times20061.png

(b) Computation time