mp-28809/TlBS3/anharm

Harmonic properties

../../_images/fig_bandos_pr11643.png

(a) Phonon dispersion with participation ratio and DOS

../../_images/fig_thermo11643.png

(b) Thermodynamic properties

Grüneisen parameters

../../_images/fig_gru_all4849.png

(a) Grüneisen parameters

../../_images/fig_gruneisen4849.png

(b) Phonon dispersion with Grüneisen parameters

Thermal conductivity

3-phonon (LASSO) — q-mesh: 10x6x12, supercell: 2x1x3

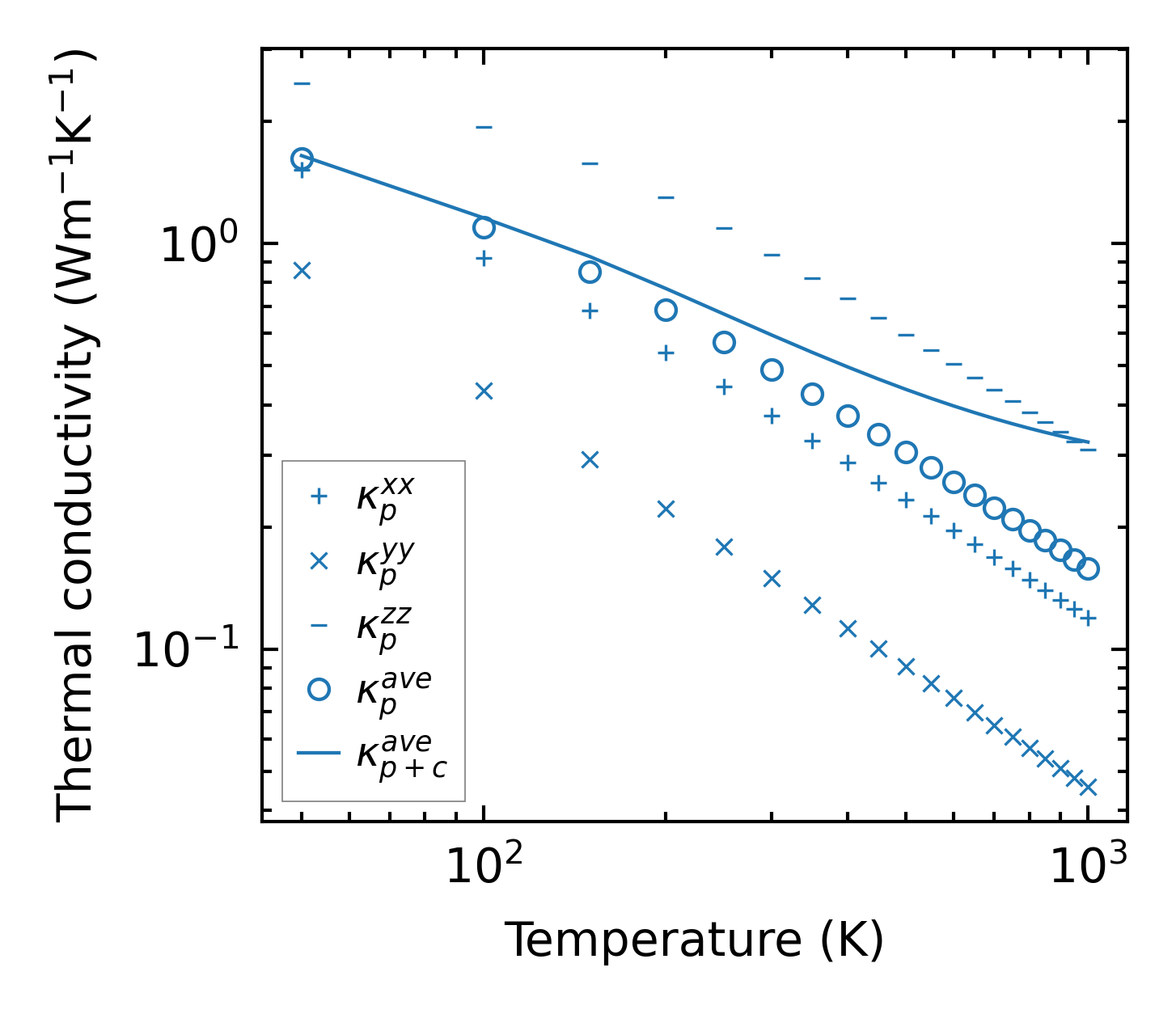
../../_images/fig_kappa9142.png

(a) Temperature-dependent lattice thermal conductivity

../../_images/fig_kappa_vs_grain_size4905.png

(b) Peierls lattice thermal conductivity w.r.t grain size

Phonon lifetime and scattering rates

../../_images/fig_lifetime4800.png

(a) Phonon lifetime due to phonon-phonon scattering

../../_images/fig_scat_rates4799.png

(b) Phonon scattering rates

Cumulative and spectral thermal conductivity

../../_images/fig_cumu_frequency4800.png

(a) Spectral and cumulative thermal conductivity w.r.t frequency

../../_images/fig_cumu_mfp4799.png

(b) Spectral and cumulative thermal conductivity w.r.t MFP

Force constants

../../_images/fig_fc211355.png

(a) Force constants w.r.t atomic distance

Summary

../../_images/fig_kappa9143.png

(a) Temperature-dependent lattice thermal conductivity

../../_images/fig_times19807.png

(b) Computation time