mp-28499-2/Al10Ge2O19/anharm

Equation of state

../../_images/fig_bm5622.png

(a) Equation of state

Harmonic properties

../../_images/fig_bandos_pr11504.png

(a) Phonon dispersion with participation ratio and DOS

../../_images/fig_bandos15515.png

(b) Phonon dispersion and DOS

../../_images/fig_thermo11504.png

(c) Thermodynamic properties

Grüneisen parameters

../../_images/fig_gru_all4768.png

(a) Grüneisen parameters

../../_images/fig_gruneisen4768.png

(b) Phonon dispersion with Grüneisen parameters

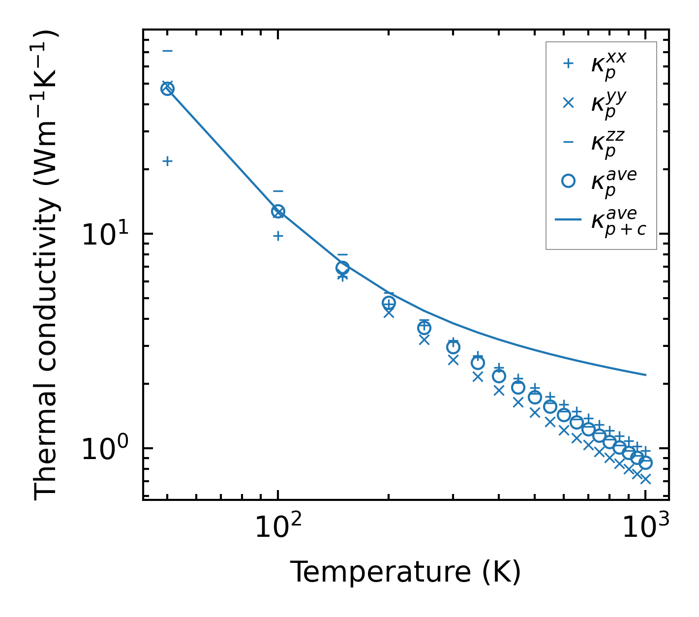
Thermal conductivity

3-phonon (LASSO), supercell 2x1x1 — q-mesh: 6x6x12, supercell: 2x1x1

../../_images/fig_kappa8999.png

(a) Temperature-dependent lattice thermal conductivity

../../_images/fig_kappa_vs_grain_size4827.png

(b) Peierls lattice thermal conductivity w.r.t grain size

Phonon lifetime and scattering rates

../../_images/fig_lifetime4723.png

(a) Phonon lifetime due to phonon-phonon scattering

../../_images/fig_scat_rates4722.png

(b) Phonon scattering rates

Cumulative and spectral thermal conductivity

../../_images/fig_cumu_frequency4723.png

(a) Spectral and cumulative thermal conductivity w.r.t frequency

../../_images/fig_cumu_mfp4722.png

(b) Spectral and cumulative thermal conductivity w.r.t MFP

Force constants

../../_images/fig_fc211219.png

(a) Force constants w.r.t atomic distance

Summary

../../_images/fig_times19610.png

(a) Computation time