mp-28218/TlCdCl3/anharm

Harmonic properties

../../_images/fig_bandos_pr11753.png

(a) Phonon dispersion with participation ratio and DOS

../../_images/fig_thermo11753.png

(b) Thermodynamic properties

Grüneisen parameters

../../_images/fig_gru_all4897.png

(a) Grüneisen parameters

../../_images/fig_gruneisen4897.png

(b) Phonon dispersion with Grüneisen parameters

Thermal conductivity

3-phonon (LASSO) — q-mesh: 8x18x4, supercell: 2x3x1

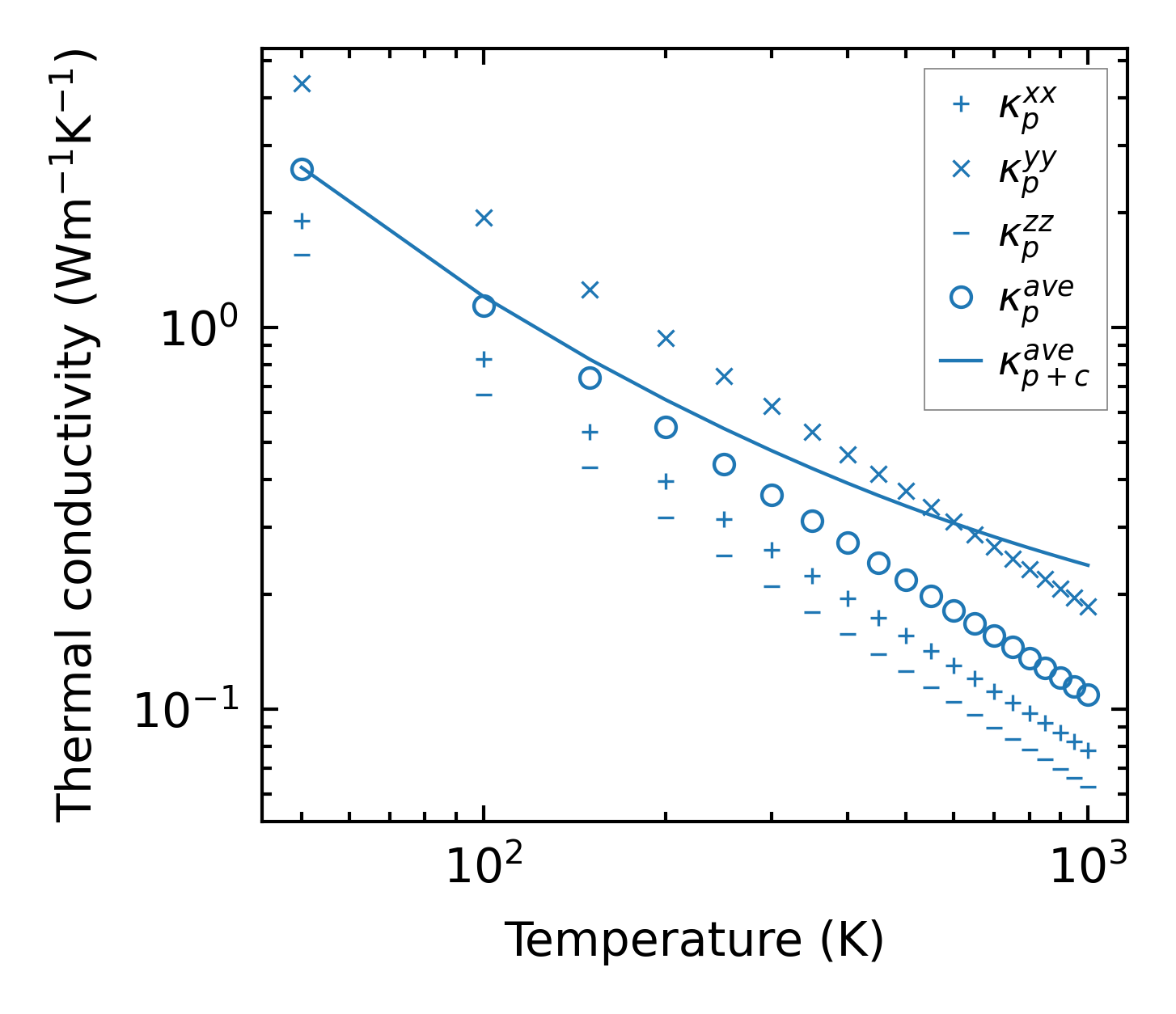
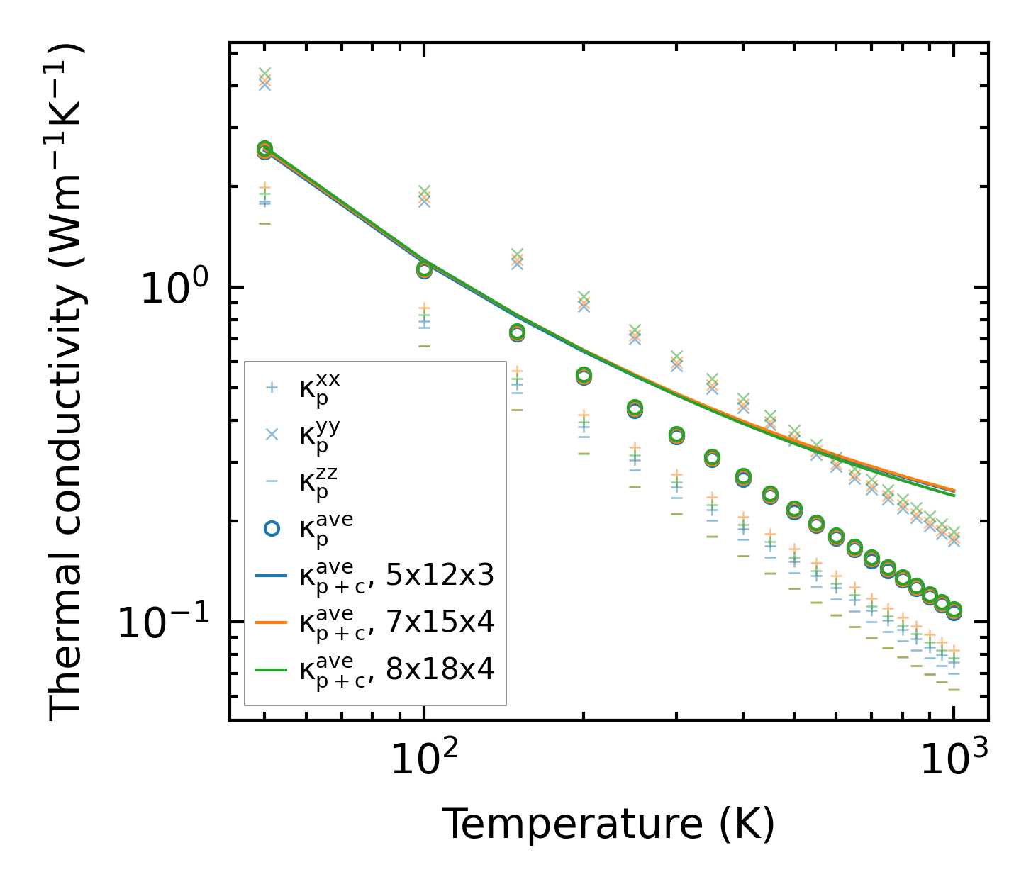
../../_images/fig_kappa9228.png

(a) Temperature-dependent lattice thermal conductivity

../../_images/fig_kappa_vs_grain_size4953.png

(b) Peierls lattice thermal conductivity w.r.t grain size

Phonon lifetime and scattering rates

../../_images/fig_lifetime4848.png

(a) Phonon lifetime due to phonon-phonon scattering

../../_images/fig_scat_rates4847.png

(b) Phonon scattering rates

Cumulative and spectral thermal conductivity

../../_images/fig_cumu_frequency4848.png

(a) Spectral and cumulative thermal conductivity w.r.t frequency

../../_images/fig_cumu_mfp4847.png

(b) Spectral and cumulative thermal conductivity w.r.t MFP

Force constants

../../_images/fig_fc211464.png

(a) Force constants w.r.t atomic distance

Summary

../../_images/fig_kappa9229.png

(a) Temperature-dependent lattice thermal conductivity

../../_images/fig_times19959.png

(b) Computation time