mp-28856/Na7Au5S6/anharm

Harmonic properties

../../_images/fig_bandos_pr11654.png

(a) Phonon dispersion with participation ratio and DOS

../../_images/fig_thermo11654.png

(b) Thermodynamic properties

Grüneisen parameters

../../_images/fig_gru_all4858.png

(a) Grüneisen parameters

../../_images/fig_gruneisen4858.png

(b) Phonon dispersion with Grüneisen parameters

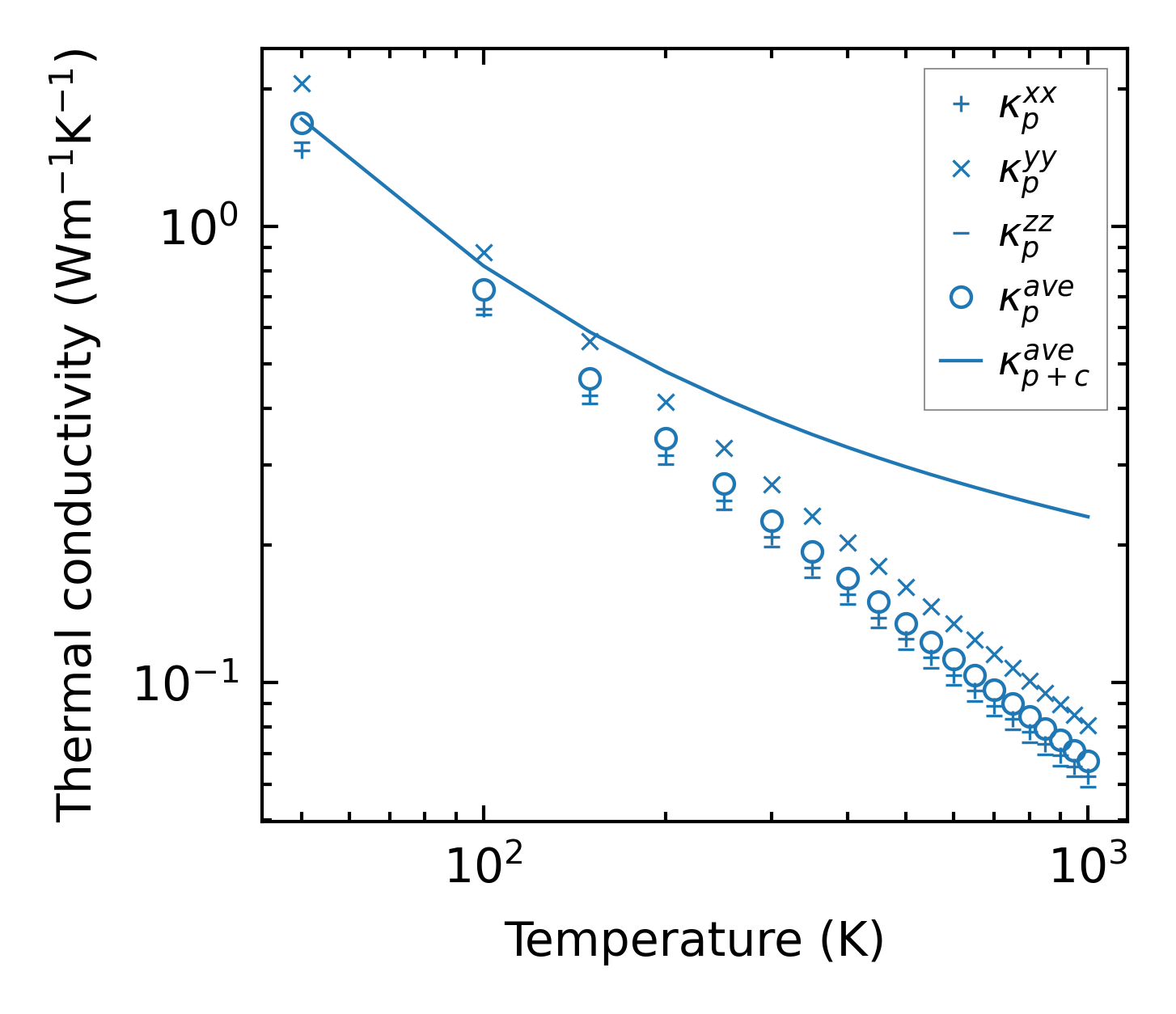
Thermal conductivity

3-phonon (LASSO) — q-mesh: 6x10x3, supercell: 1x2x1

../../_images/fig_kappa9159.png

(a) Temperature-dependent lattice thermal conductivity

../../_images/fig_kappa_vs_grain_size4914.png

(b) Peierls lattice thermal conductivity w.r.t grain size

Phonon lifetime and scattering rates

../../_images/fig_lifetime4809.png

(a) Phonon lifetime due to phonon-phonon scattering

../../_images/fig_scat_rates4808.png

(b) Phonon scattering rates

Cumulative and spectral thermal conductivity

../../_images/fig_cumu_frequency4809.png

(a) Spectral and cumulative thermal conductivity w.r.t frequency

../../_images/fig_cumu_mfp4808.png

(b) Spectral and cumulative thermal conductivity w.r.t MFP

Force constants

../../_images/fig_fc211366.png

(a) Force constants w.r.t atomic distance

Summary

../../_images/fig_kappa9160.png

(a) Temperature-dependent lattice thermal conductivity

../../_images/fig_times19824.png

(b) Computation time