mp-28364/Rb2CdO2/anharm

Harmonic properties

../../_images/fig_bandos_pr11823.png

(a) Phonon dispersion with participation ratio and DOS

../../_images/fig_thermo11823.png

(b) Thermodynamic properties

Grüneisen parameters

../../_images/fig_gru_all4925.png

(a) Grüneisen parameters

../../_images/fig_gruneisen4925.png

(b) Phonon dispersion with Grüneisen parameters

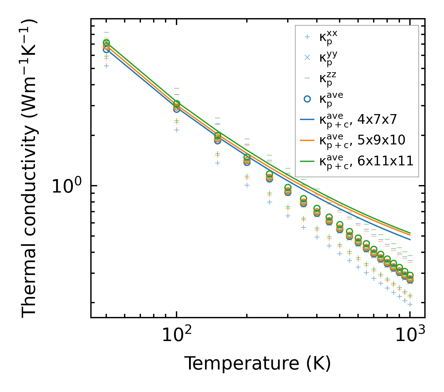
Thermal conductivity

3-phonon (LASSO) — q-mesh: 6x11x11, supercell: 1x2x2

../../_images/fig_kappa9286.png

(a) Temperature-dependent lattice thermal conductivity

../../_images/fig_kappa_vs_grain_size4983.png

(b) Peierls lattice thermal conductivity w.r.t grain size

Phonon lifetime and scattering rates

../../_images/fig_lifetime4876.png

(a) Phonon lifetime due to phonon-phonon scattering

../../_images/fig_scat_rates4875.png

(b) Phonon scattering rates

Cumulative and spectral thermal conductivity

../../_images/fig_cumu_frequency4876.png

(a) Spectral and cumulative thermal conductivity w.r.t frequency

../../_images/fig_cumu_mfp4875.png

(b) Spectral and cumulative thermal conductivity w.r.t MFP

Force constants

../../_images/fig_fc211534.png

(a) Force constants w.r.t atomic distance

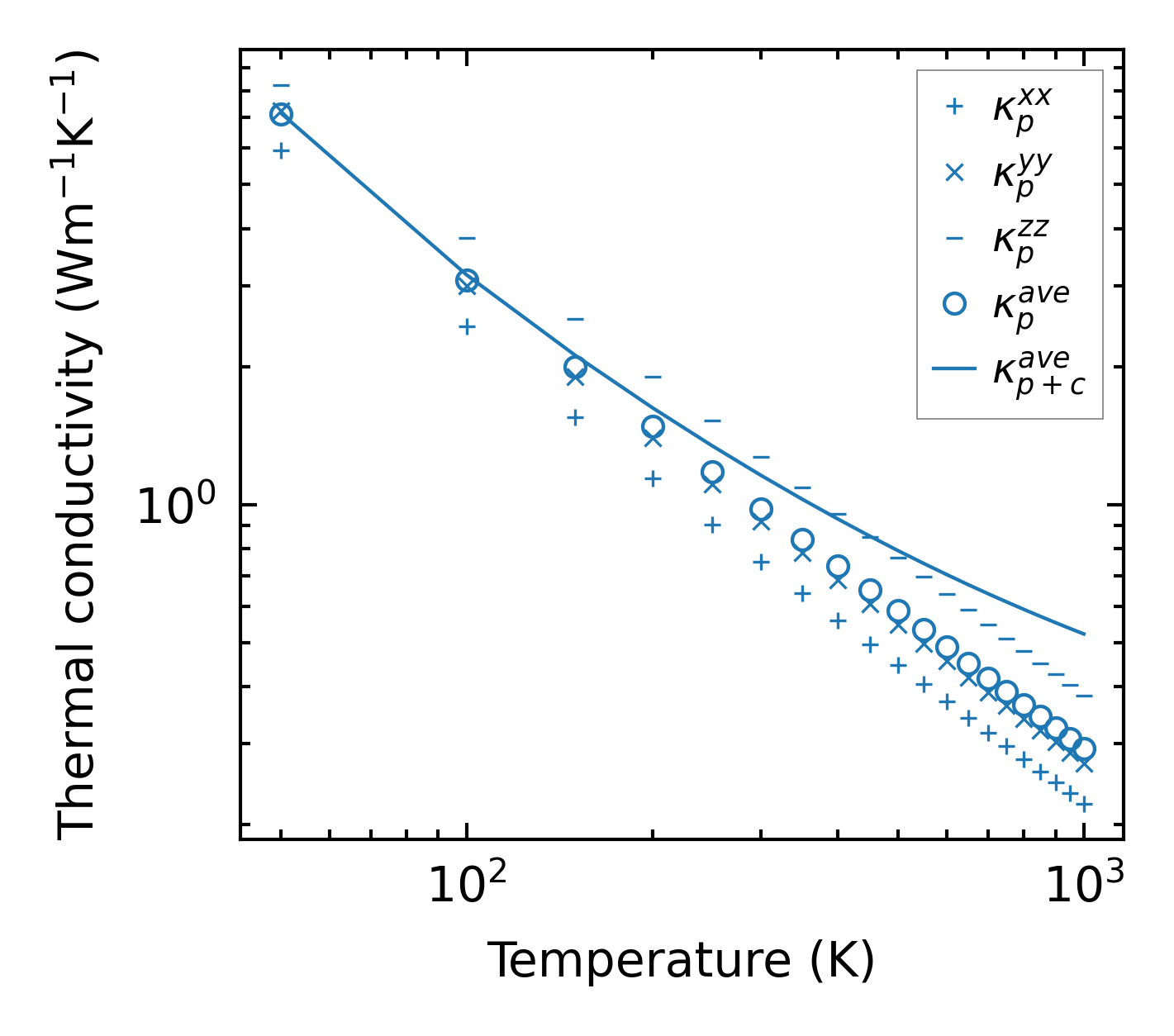
Summary

../../_images/fig_kappa9287.png

(a) Temperature-dependent lattice thermal conductivity

../../_images/fig_times20059.png

(b) Computation time