mp-28094-2/RbDy2Cl7/anharm

Equation of state

../../_images/fig_bm5699.png

(a) Equation of state

Harmonic properties

../../_images/fig_bandos_pr11687.png

(a) Phonon dispersion with participation ratio and DOS

../../_images/fig_thermo11687.png

(b) Thermodynamic properties

Grüneisen parameters

../../_images/fig_gru_all4879.png

(a) Grüneisen parameters

../../_images/fig_gruneisen4879.png

(b) Phonon dispersion with Grüneisen parameters

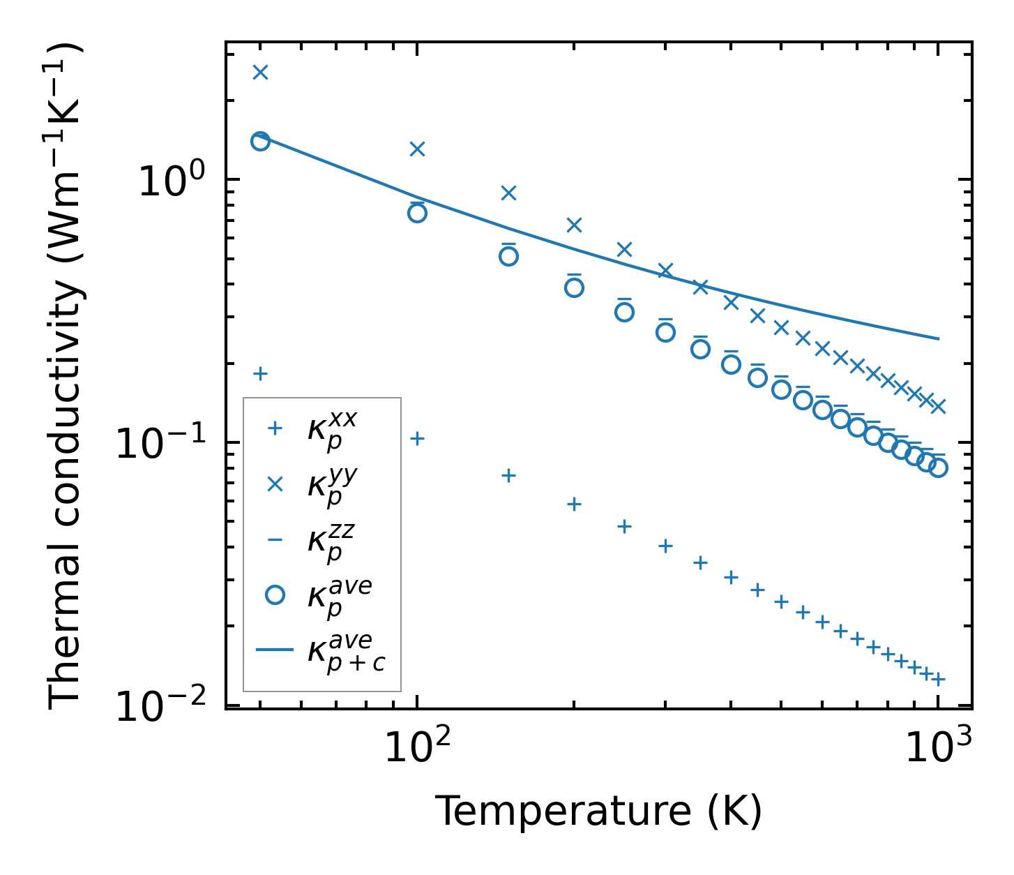
Thermal conductivity

3-phonon (LASSO) — q-mesh: 5x10x5, supercell: 1x2x1

../../_images/fig_kappa9199.png

(a) Temperature-dependent lattice thermal conductivity

../../_images/fig_kappa_vs_grain_size4935.png

(b) Peierls lattice thermal conductivity w.r.t grain size

Phonon lifetime and scattering rates

../../_images/fig_lifetime4830.png

(a) Phonon lifetime due to phonon-phonon scattering

../../_images/fig_scat_rates4829.png

(b) Phonon scattering rates

Cumulative and spectral thermal conductivity

../../_images/fig_cumu_frequency4830.png

(a) Spectral and cumulative thermal conductivity w.r.t frequency

../../_images/fig_cumu_mfp4829.png

(b) Spectral and cumulative thermal conductivity w.r.t MFP

Force constants

../../_images/fig_fc211398.png

(a) Force constants w.r.t atomic distance

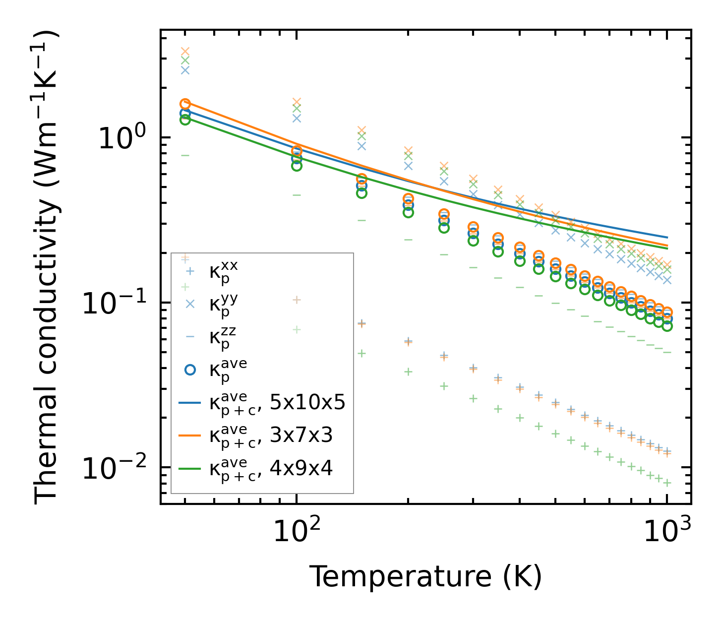
Summary

../../_images/fig_kappa9200.png

(a) Temperature-dependent lattice thermal conductivity

../../_images/fig_times19871.png

(b) Computation time