mp-28216/Lu6Ge4O17/anharm

Equation of state

../../_images/fig_bm5733.png

(a) Equation of state

Harmonic properties

../../_images/fig_bandos_pr11752.png

(a) Phonon dispersion with participation ratio and DOS

../../_images/fig_thermo11752.png

(b) Thermodynamic properties

Grüneisen parameters

../../_images/fig_gru_all4896.png

(a) Grüneisen parameters

../../_images/fig_gruneisen4896.png

(b) Phonon dispersion with Grüneisen parameters

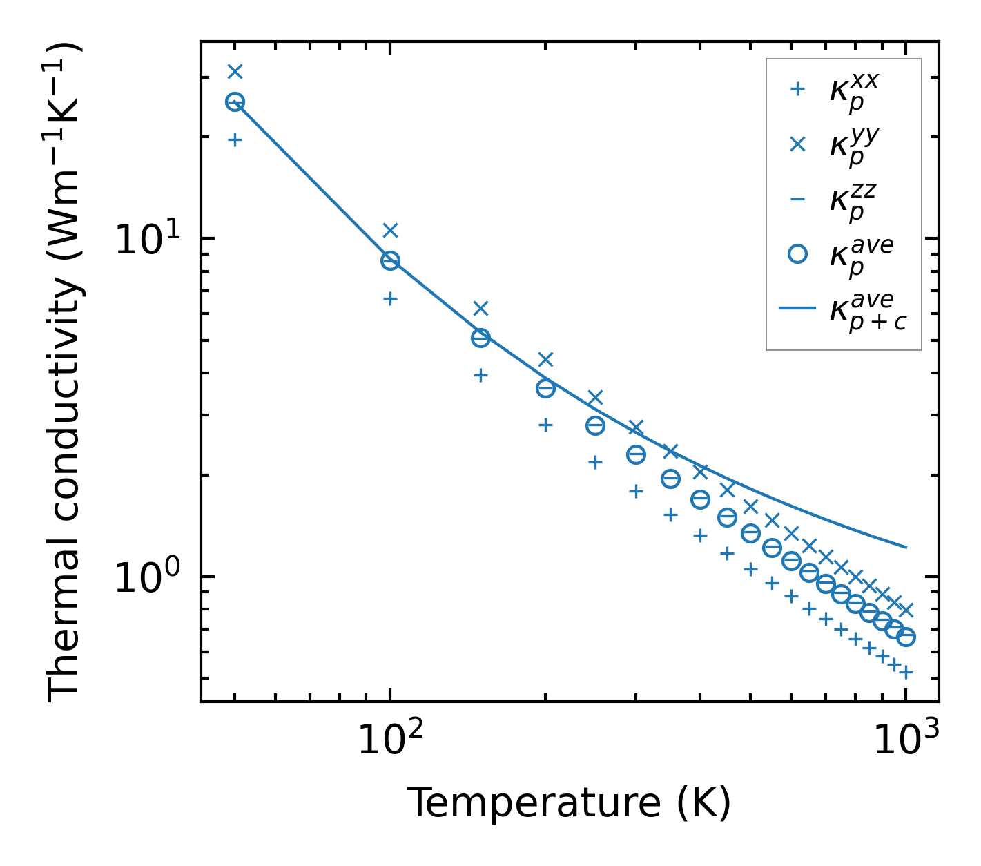
Thermal conductivity

3-phonon (LASSO) — q-mesh: 6x10x7, supercell: 1x2x1

../../_images/fig_kappa9226.png

(a) Temperature-dependent lattice thermal conductivity

../../_images/fig_kappa_vs_grain_size4952.png

(b) Peierls lattice thermal conductivity w.r.t grain size

Phonon lifetime and scattering rates

../../_images/fig_lifetime4847.png

(a) Phonon lifetime due to phonon-phonon scattering

../../_images/fig_scat_rates4846.png

(b) Phonon scattering rates

Cumulative and spectral thermal conductivity

../../_images/fig_cumu_frequency4847.png

(a) Spectral and cumulative thermal conductivity w.r.t frequency

../../_images/fig_cumu_mfp4846.png

(b) Spectral and cumulative thermal conductivity w.r.t MFP

Force constants

../../_images/fig_fc211463.png

(a) Force constants w.r.t atomic distance

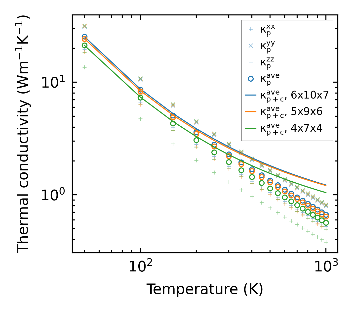
Summary

../../_images/fig_kappa9227.png

(a) Temperature-dependent lattice thermal conductivity

../../_images/fig_times19956.png

(b) Computation time