mp-28479-2/Sc2CCl2/anharm

Equation of state

../../_images/fig_bm5618.png

(a) Equation of state

Harmonic properties

../../_images/fig_bandos_pr11497.png

(a) Phonon dispersion with participation ratio and DOS

../../_images/fig_bandos15506.png

(b) Phonon dispersion and DOS

../../_images/fig_thermo11497.png

(c) Thermodynamic properties

Grüneisen parameters

../../_images/fig_gru_all4765.png

(a) Grüneisen parameters

../../_images/fig_gruneisen4765.png

(b) Phonon dispersion with Grüneisen parameters

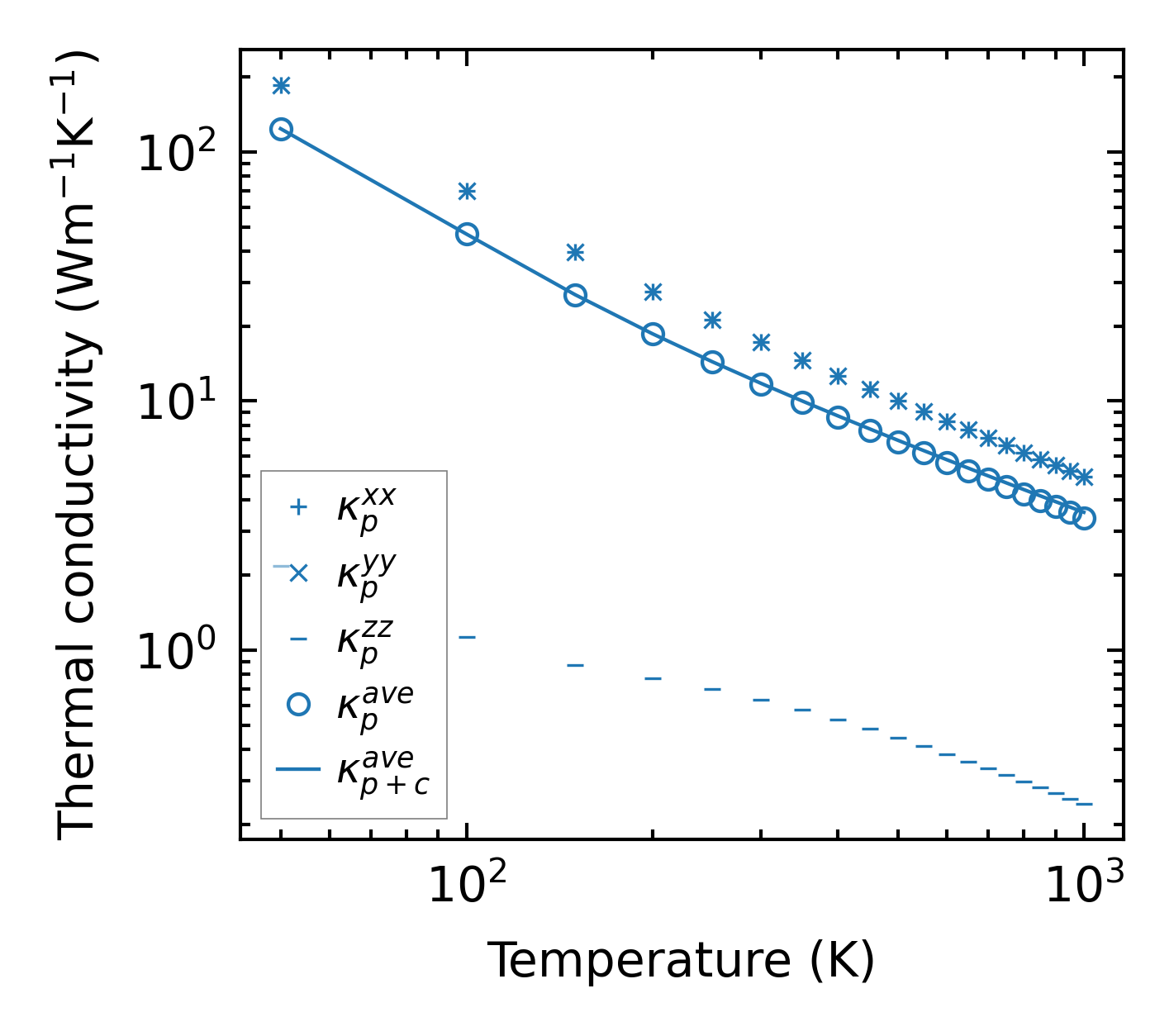
Thermal conductivity

3-phonon (LASSO), supercell 4x4x2 — q-mesh: 22x22x8, supercell: 4x4x2

../../_images/fig_kappa8994.png

(a) Temperature-dependent lattice thermal conductivity

../../_images/fig_kappa_vs_grain_size4824.png

(b) Peierls lattice thermal conductivity w.r.t grain size

Phonon lifetime and scattering rates

../../_images/fig_lifetime4720.png

(a) Phonon lifetime due to phonon-phonon scattering

../../_images/fig_scat_rates4719.png

(b) Phonon scattering rates

Cumulative and spectral thermal conductivity

../../_images/fig_cumu_frequency4720.png

(a) Spectral and cumulative thermal conductivity w.r.t frequency

../../_images/fig_cumu_mfp4719.png

(b) Spectral and cumulative thermal conductivity w.r.t MFP

Force constants

../../_images/fig_fc211212.png

(a) Force constants w.r.t atomic distance

Summary

../../_images/fig_times19599.png

(a) Computation time