mp-28513/PbCl2O6/harm

Harmonic properties

../../_images/fig_bandos_pr11511.png

(a) Phonon dispersion with participation ratio and DOS

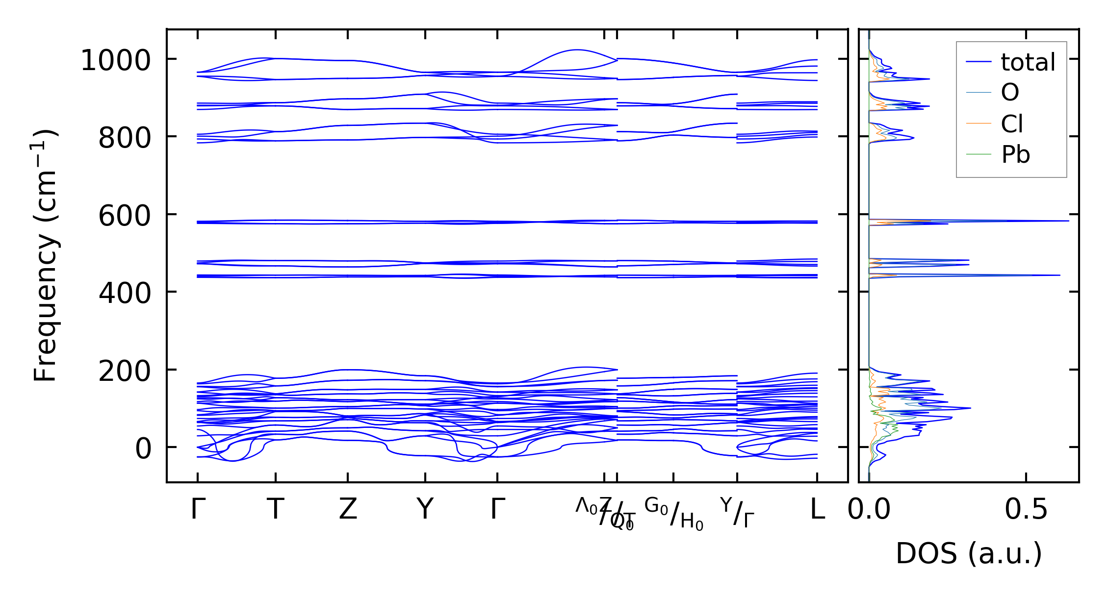
../../_images/fig_bandos15521.png

(b) Phonon dispersion and DOS

../../_images/fig_thermo11511.png

(c) Thermodynamic properties

Force constants

../../_images/fig_fc211226.png

(a) Force constants w.r.t atomic distance

Summary

../../_images/fig_times19618.png

(a) Computation time