mp-28274/Ba3In2F12/anharm

Harmonic properties

../../_images/fig_bandos_pr11785.png

(a) Phonon dispersion with participation ratio and DOS

../../_images/fig_thermo11785.png

(b) Thermodynamic properties

Grüneisen parameters

../../_images/fig_gru_all4907.png

(a) Grüneisen parameters

../../_images/fig_gruneisen4907.png

(b) Phonon dispersion with Grüneisen parameters

Thermal conductivity

3-phonon (LASSO) — q-mesh: 7x7x12, supercell: 1x1x2

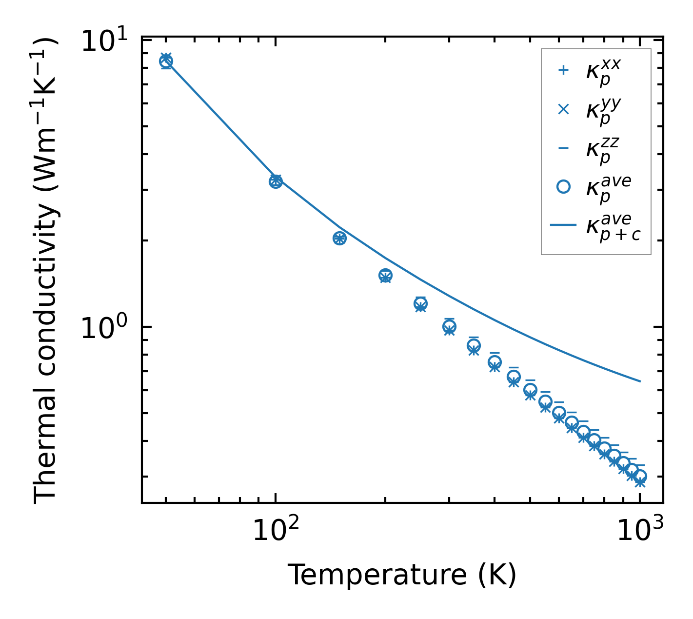
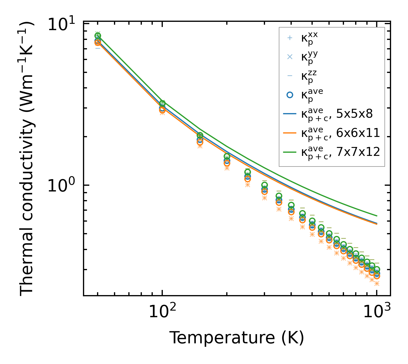
../../_images/fig_kappa9249.png

(a) Temperature-dependent lattice thermal conductivity

../../_images/fig_kappa_vs_grain_size4964.png

(b) Peierls lattice thermal conductivity w.r.t grain size

Phonon lifetime and scattering rates

../../_images/fig_lifetime4858.png

(a) Phonon lifetime due to phonon-phonon scattering

../../_images/fig_scat_rates4857.png

(b) Phonon scattering rates

Cumulative and spectral thermal conductivity

../../_images/fig_cumu_frequency4858.png

(a) Spectral and cumulative thermal conductivity w.r.t frequency

../../_images/fig_cumu_mfp4857.png

(b) Spectral and cumulative thermal conductivity w.r.t MFP

Force constants

../../_images/fig_fc211496.png

(a) Force constants w.r.t atomic distance

Summary

../../_images/fig_kappa9250.png

(a) Temperature-dependent lattice thermal conductivity

../../_images/fig_times20002.png

(b) Computation time