mp-28842-2/Si3PH9/anharm

Equation of state

../../_images/fig_bm5687.png

(a) Equation of state

Harmonic properties

../../_images/fig_bandos_pr11651.png

(a) Phonon dispersion with participation ratio and DOS

../../_images/fig_thermo11651.png

(b) Thermodynamic properties

Grüneisen parameters

../../_images/fig_gru_all4855.png

(a) Grüneisen parameters

../../_images/fig_gruneisen4855.png

(b) Phonon dispersion with Grüneisen parameters

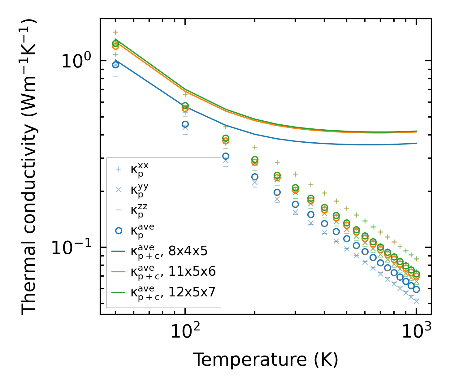
Thermal conductivity

3-phonon (LASSO) — q-mesh: 12x5x7, supercell: 2x1x1

../../_images/fig_kappa9154.png

(a) Temperature-dependent lattice thermal conductivity

../../_images/fig_kappa_vs_grain_size4911.png

(b) Peierls lattice thermal conductivity w.r.t grain size

Phonon lifetime and scattering rates

../../_images/fig_lifetime4806.png

(a) Phonon lifetime due to phonon-phonon scattering

../../_images/fig_scat_rates4805.png

(b) Phonon scattering rates

Cumulative and spectral thermal conductivity

../../_images/fig_cumu_frequency4806.png

(a) Spectral and cumulative thermal conductivity w.r.t frequency

../../_images/fig_cumu_mfp4805.png

(b) Spectral and cumulative thermal conductivity w.r.t MFP

Force constants

../../_images/fig_fc211363.png

(a) Force constants w.r.t atomic distance

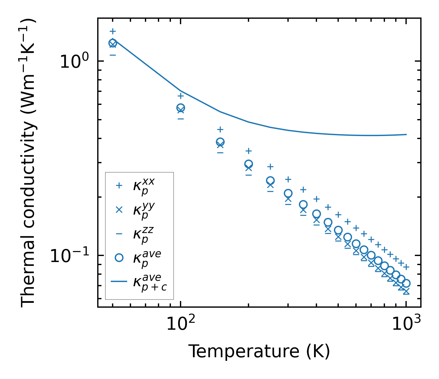
Summary

../../_images/fig_kappa9155.png

(a) Temperature-dependent lattice thermal conductivity

../../_images/fig_times19818.png

(b) Computation time