mp-28534/CaInBr3/anharm

Harmonic properties

../../_images/fig_bandos_pr11521.png

(a) Phonon dispersion with participation ratio and DOS

../../_images/fig_thermo11521.png

(b) Thermodynamic properties

Grüneisen parameters

../../_images/fig_gru_all4777.png

(a) Grüneisen parameters

../../_images/fig_gruneisen4777.png

(b) Phonon dispersion with Grüneisen parameters

Thermal conductivity

3-phonon (LASSO) — q-mesh: 12x12x8, supercell: 3x1x2

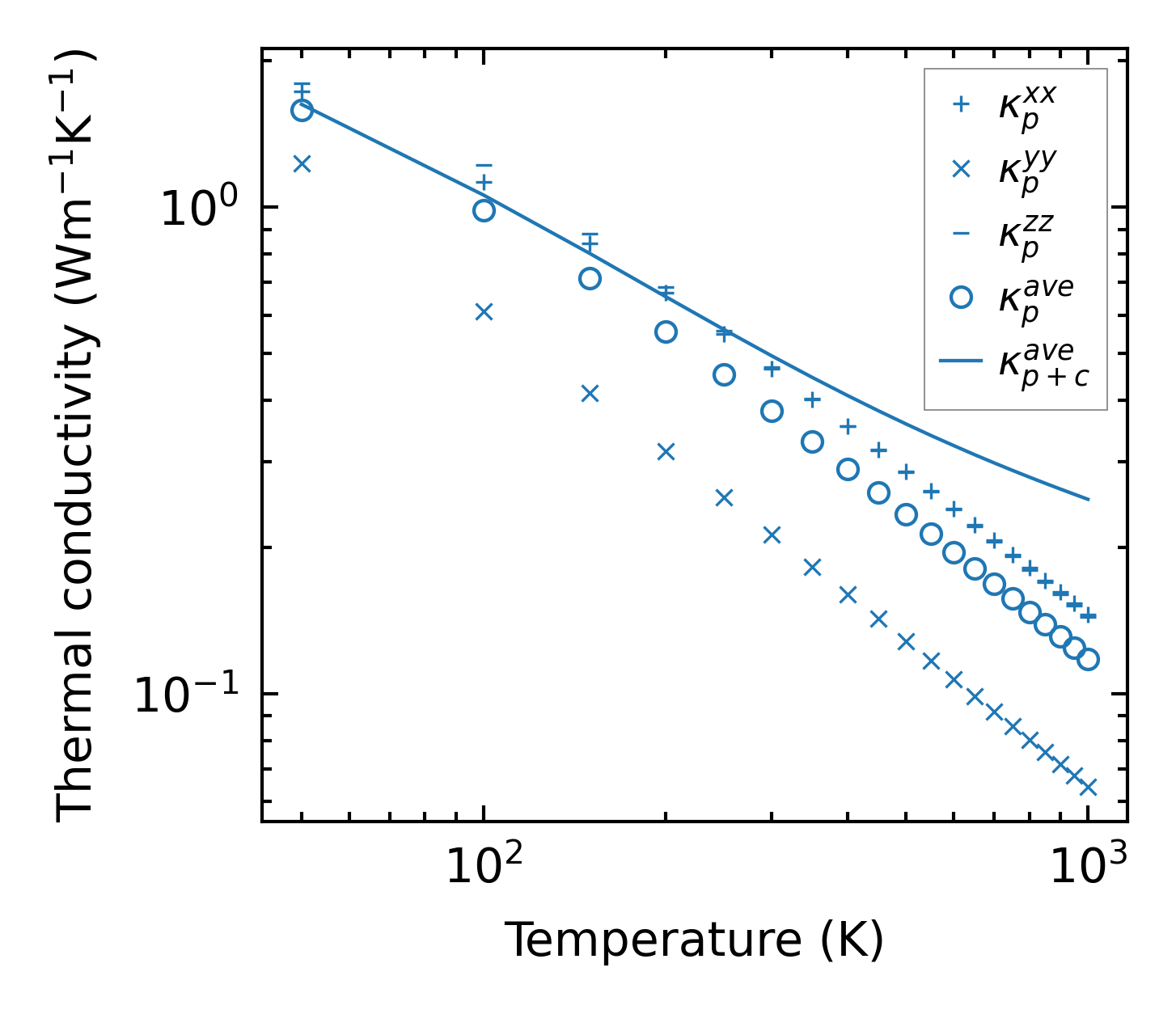
../../_images/fig_kappa9013.png

(a) Temperature-dependent lattice thermal conductivity

../../_images/fig_kappa_vs_grain_size4835.png

(b) Peierls lattice thermal conductivity w.r.t grain size

Phonon lifetime and scattering rates

../../_images/fig_lifetime4731.png

(a) Phonon lifetime due to phonon-phonon scattering

../../_images/fig_scat_rates4730.png

(b) Phonon scattering rates

Cumulative and spectral thermal conductivity

../../_images/fig_cumu_frequency4731.png

(a) Spectral and cumulative thermal conductivity w.r.t frequency

../../_images/fig_cumu_mfp4730.png

(b) Spectral and cumulative thermal conductivity w.r.t MFP

Force constants

../../_images/fig_fc211236.png

(a) Force constants w.r.t atomic distance

Summary

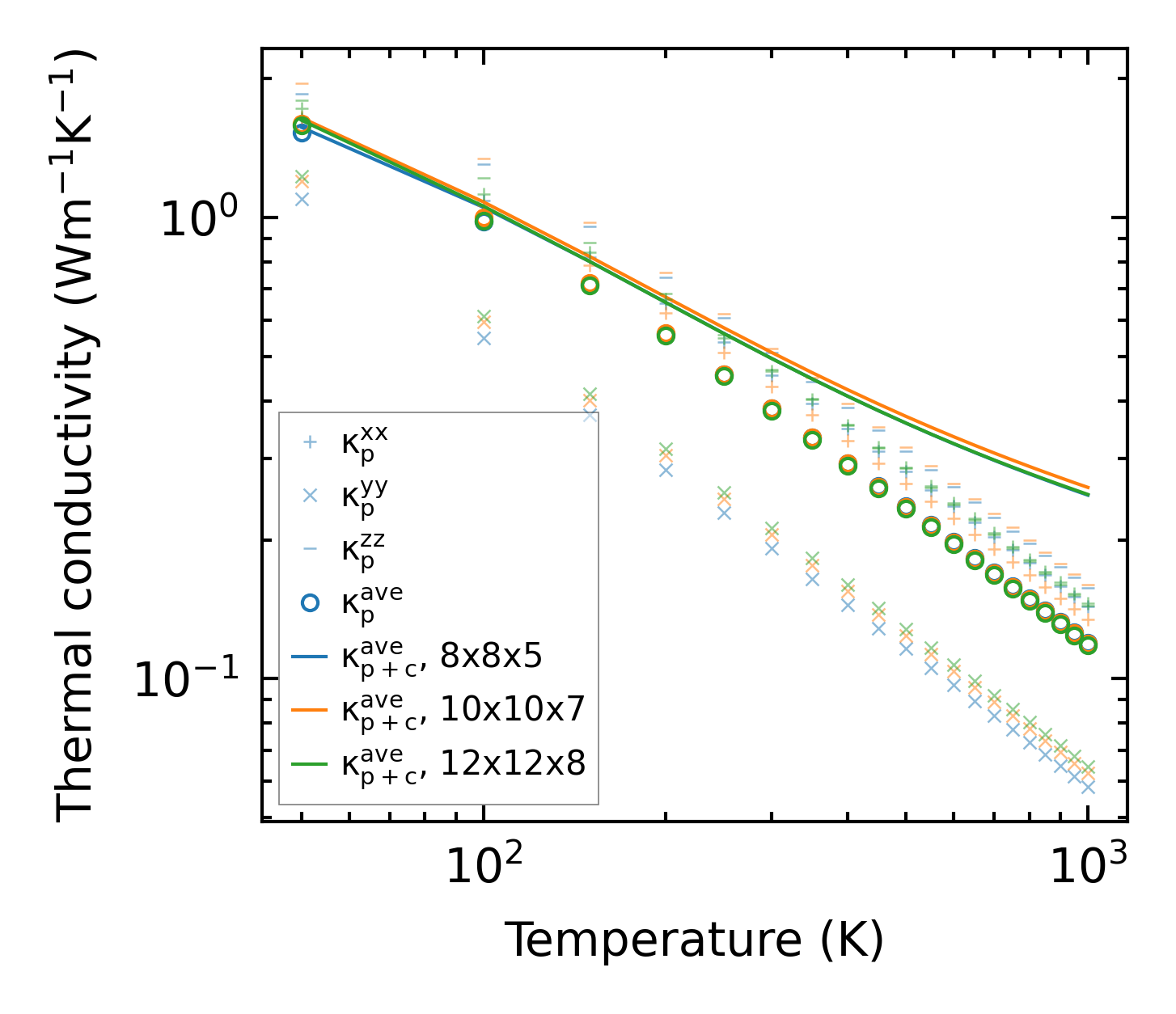
../../_images/fig_kappa9014.png

(a) Temperature-dependent lattice thermal conductivity

../../_images/fig_times19628.png

(b) Computation time