mp-8985/Ba2YC2O6F3/anharm

Harmonic properties

../../_images/fig_bandos_pr1679.png

(a) Phonon dispersion with participation ratio and DOS

../../_images/fig_thermo1679.png

(b) Thermodynamic properties

Grüneisen parameters

../../_images/fig_gru_all984.png

(a) Grüneisen parameters

../../_images/fig_gruneisen984.png

(b) Phonon dispersion with Grüneisen parameters

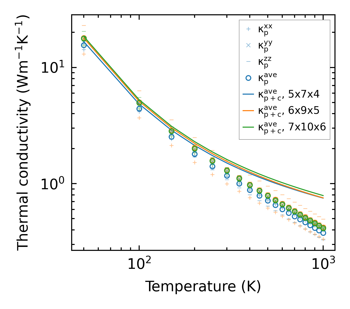
Thermal conductivity

3-phonon (LASSO) — q-mesh: 7x10x6, supercell: 1x2x1

../../_images/fig_kappa1909.png

(a) Temperature-dependent lattice thermal conductivity

../../_images/fig_kappa_vs_grain_size995.png

(b) Peierls lattice thermal conductivity w.r.t grain size

Phonon lifetime and scattering rates

../../_images/fig_lifetime977.png

(a) Phonon lifetime due to phonon-phonon scattering

../../_images/fig_scat_rates976.png

(b) Phonon scattering rates

Cumulative and spectral thermal conductivity

../../_images/fig_cumu_frequency977.png

(a) Spectral and cumulative thermal conductivity w.r.t frequency

../../_images/fig_cumu_mfp977.png

(b) Spectral and cumulative thermal conductivity w.r.t MFP

Force constants

../../_images/fig_fc21512.png

(a) Force constants w.r.t atomic distance

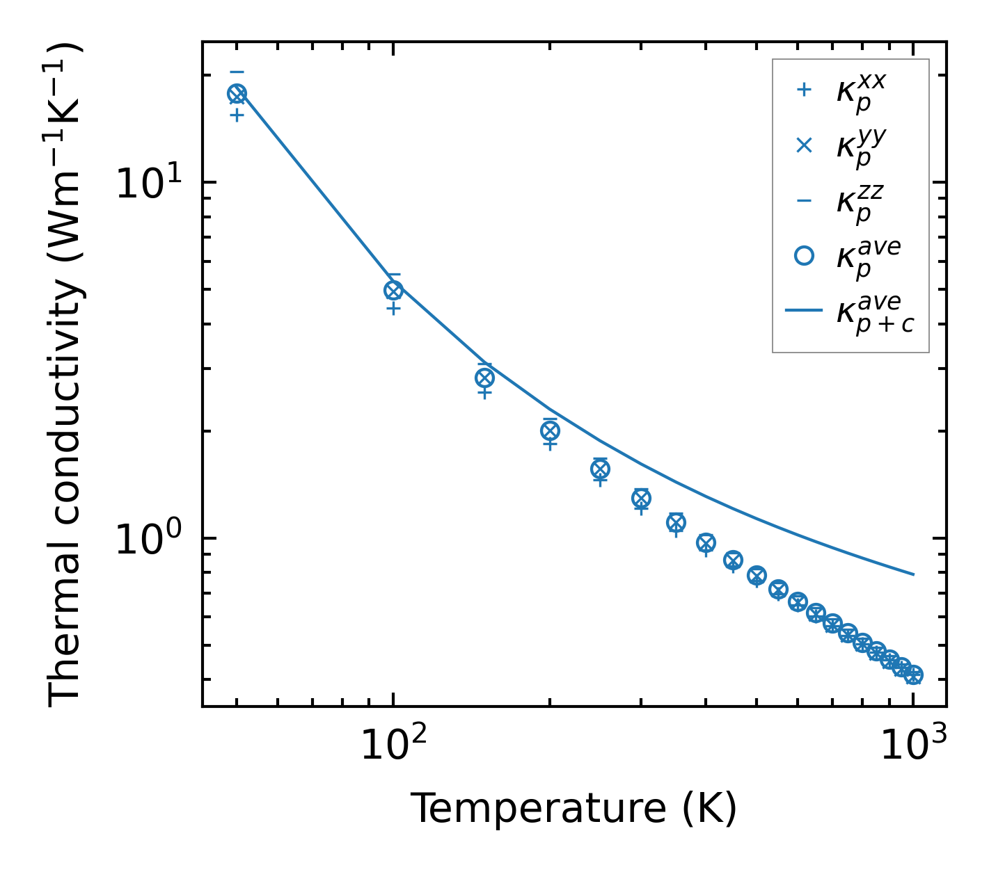
Summary

../../_images/fig_kappa1910.png

(a) Temperature-dependent lattice thermal conductivity

../../_images/fig_times2508.png

(b) Computation time