mp-8812/Rb2GeF6/anharm

Harmonic properties

../../_images/fig_bandos_pr1923.png

(a) Phonon dispersion with participation ratio and DOS

../../_images/fig_thermo1923.png

(b) Thermodynamic properties

Grüneisen parameters

../../_images/fig_gru_all1101.png

(a) Grüneisen parameters

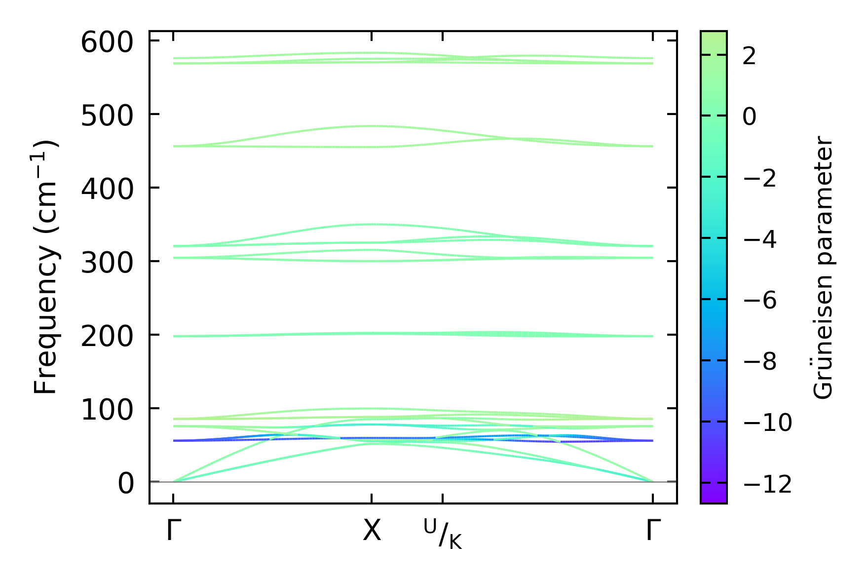
../../_images/fig_gruneisen1101.png

(b) Phonon dispersion with Grüneisen parameters

Thermal conductivity

3-phonon (LASSO) — q-mesh: 13x13x13, supercell: 1x1x1

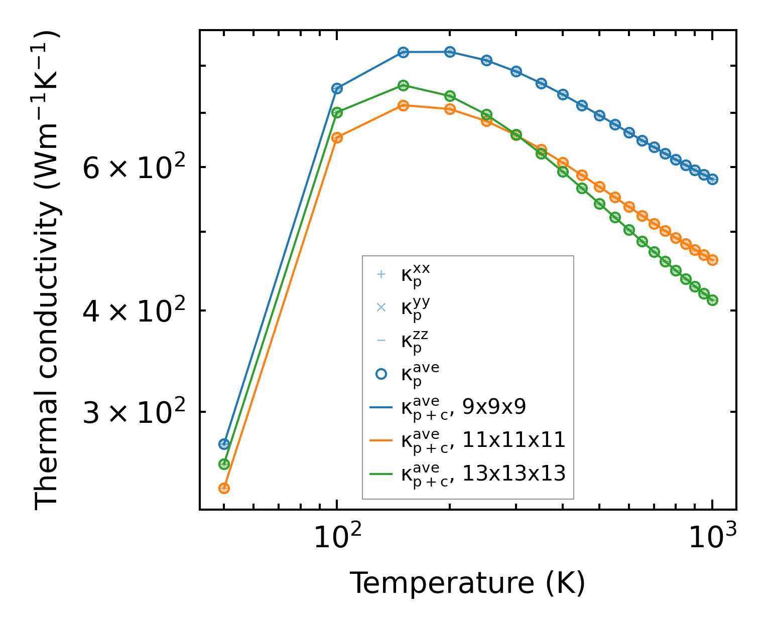
../../_images/fig_kappa2121.png

(a) Temperature-dependent lattice thermal conductivity

../../_images/fig_kappa_vs_grain_size1112.png

(b) Peierls lattice thermal conductivity w.r.t grain size

Phonon lifetime and scattering rates

../../_images/fig_lifetime1092.png

(a) Phonon lifetime due to phonon-phonon scattering

../../_images/fig_scat_rates1091.png

(b) Phonon scattering rates

Cumulative and spectral thermal conductivity

../../_images/fig_cumu_frequency1092.png

(a) Spectral and cumulative thermal conductivity w.r.t frequency

../../_images/fig_cumu_mfp1092.png

(b) Spectral and cumulative thermal conductivity w.r.t MFP

Force constants

../../_images/fig_fc21746.png

(a) Force constants w.r.t atomic distance

Summary

../../_images/fig_kappa2122.png

(a) Temperature-dependent lattice thermal conductivity

../../_images/fig_times2928.png

(b) Computation time