mp-8869-2/Y2S2O/anharm

Equation of state

../../_images/fig_bm795.png

(a) Equation of state

Harmonic properties

../../_images/fig_bandos_pr1940.png

(a) Phonon dispersion with participation ratio and DOS

../../_images/fig_bandos1941.png

(b) Phonon dispersion and DOS

../../_images/fig_thermo1940.png

(c) Thermodynamic properties

Grüneisen parameters

../../_images/fig_gru_all1114.png

(a) Grüneisen parameters

../../_images/fig_gruneisen1114.png

(b) Phonon dispersion with Grüneisen parameters

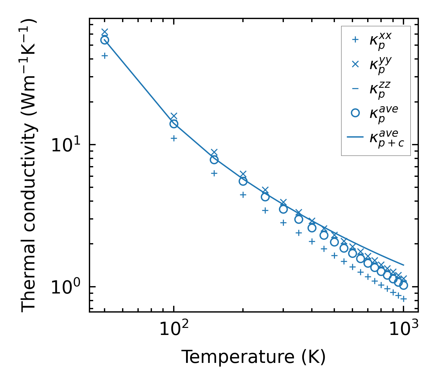
Thermal conductivity

3-phonon (LASSO), supercell 2x2x2 — q-mesh: 8x10x10, supercell: 2x2x2

../../_images/fig_kappa2146.png

(a) Temperature-dependent lattice thermal conductivity

../../_images/fig_kappa_vs_grain_size1125.png

(b) Peierls lattice thermal conductivity w.r.t grain size

Phonon lifetime and scattering rates

../../_images/fig_lifetime1105.png

(a) Phonon lifetime due to phonon-phonon scattering

../../_images/fig_scat_rates1104.png

(b) Phonon scattering rates

Cumulative and spectral thermal conductivity

../../_images/fig_cumu_frequency1105.png

(a) Spectral and cumulative thermal conductivity w.r.t frequency

../../_images/fig_cumu_mfp1105.png

(b) Spectral and cumulative thermal conductivity w.r.t MFP

Force constants

../../_images/fig_fc21763.png

(a) Force constants w.r.t atomic distance

Summary

../../_images/fig_times2947.png

(a) Computation time