mp-8857-2/Cs2As2Pd/anharm

Equation of state

../../_images/fig_bm791.png

(a) Equation of state

Harmonic properties

../../_images/fig_bandos_pr1933.png

(a) Phonon dispersion with participation ratio and DOS

../../_images/fig_bandos1937.png

(b) Phonon dispersion and DOS

../../_images/fig_thermo1933.png

(c) Thermodynamic properties

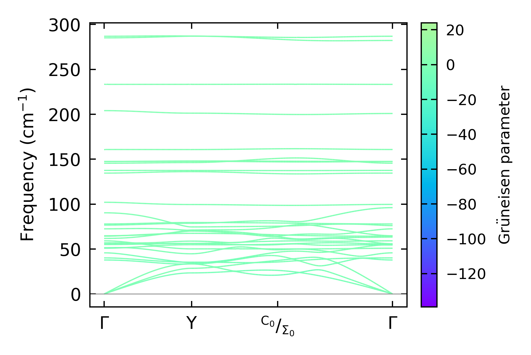
Grüneisen parameters

../../_images/fig_gru_all1108.png

(a) Grüneisen parameters

../../_images/fig_gruneisen1108.png

(b) Phonon dispersion with Grüneisen parameters

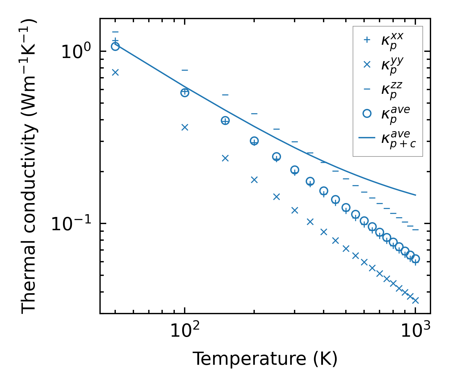
Thermal conductivity

3-phonon (LASSO), supercell 3x1x3 — q-mesh: 9x9x12, supercell: 3x1x3

../../_images/fig_kappa2135.png

(a) Temperature-dependent lattice thermal conductivity

../../_images/fig_kappa_vs_grain_size1119.png

(b) Peierls lattice thermal conductivity w.r.t grain size

Phonon lifetime and scattering rates

../../_images/fig_lifetime1099.png

(a) Phonon lifetime due to phonon-phonon scattering

../../_images/fig_scat_rates1098.png

(b) Phonon scattering rates

Cumulative and spectral thermal conductivity

../../_images/fig_cumu_frequency1099.png

(a) Spectral and cumulative thermal conductivity w.r.t frequency

../../_images/fig_cumu_mfp1099.png

(b) Spectral and cumulative thermal conductivity w.r.t MFP

Force constants

../../_images/fig_fc21756.png

(a) Force constants w.r.t atomic distance

Summary

../../_images/fig_times2938.png

(a) Computation time