mp-8882-2/GaP/anharm

Equation of state

../../_images/fig_bm802.png

(a) Equation of state

Harmonic properties

../../_images/fig_bandos_pr1951.png

(a) Phonon dispersion with participation ratio and DOS

../../_images/fig_bandos1952.png

(b) Phonon dispersion and DOS

../../_images/fig_thermo1951.png

(c) Thermodynamic properties

Grüneisen parameters

../../_images/fig_gru_all1122.png

(a) Grüneisen parameters

../../_images/fig_gruneisen1122.png

(b) Phonon dispersion with Grüneisen parameters

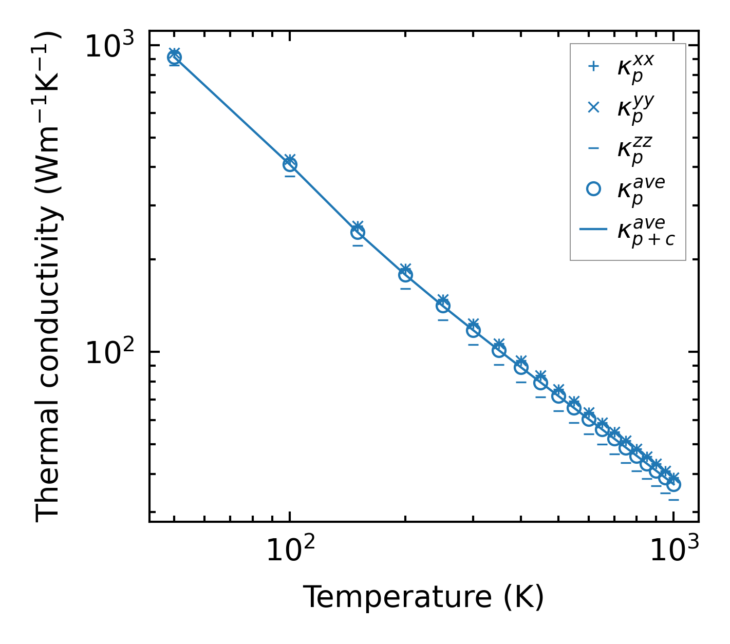
Thermal conductivity

3-phonon (LASSO), supercell 4x4x3 — q-mesh: 19x19x11, supercell: 4x4x3

../../_images/fig_kappa2160.png

(a) Temperature-dependent lattice thermal conductivity

../../_images/fig_kappa_vs_grain_size1134.png

(b) Peierls lattice thermal conductivity w.r.t grain size

Phonon lifetime and scattering rates

../../_images/fig_lifetime1113.png

(a) Phonon lifetime due to phonon-phonon scattering

../../_images/fig_scat_rates1112.png

(b) Phonon scattering rates

Cumulative and spectral thermal conductivity

../../_images/fig_cumu_frequency1113.png

(a) Spectral and cumulative thermal conductivity w.r.t frequency

../../_images/fig_cumu_mfp1113.png

(b) Spectral and cumulative thermal conductivity w.r.t MFP

Force constants

../../_images/fig_fc21774.png

(a) Force constants w.r.t atomic distance

Summary

../../_images/fig_times2963.png

(a) Computation time